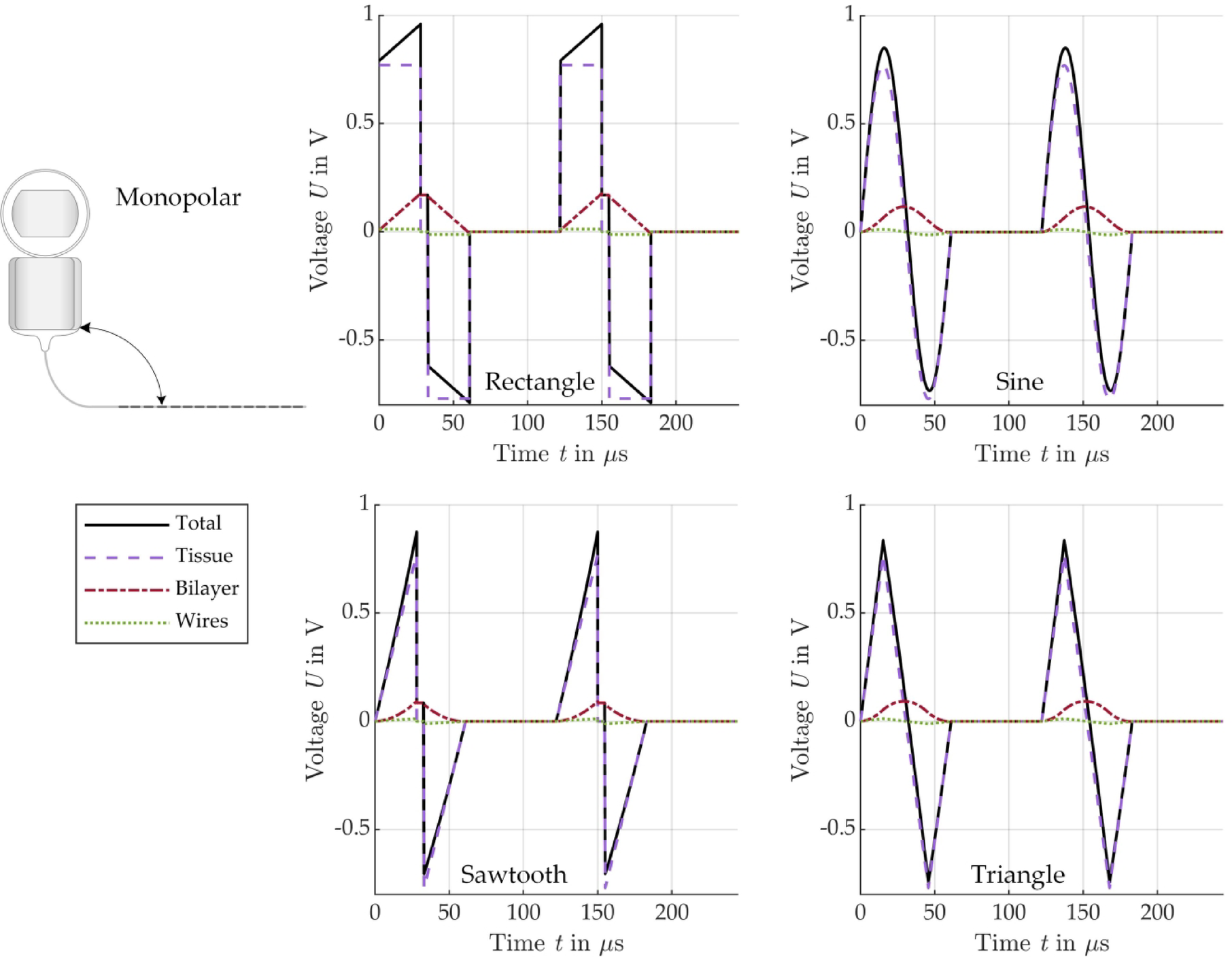
Fig. 8

Modeled voltage across the different monopolar EEC components for stimulation with a biphasic current pulse of different shape: rectangle (top left), sine (top right), sawtooth (bottom left), triangle (bottom right), see Fig. 3.

Modeled voltage across the different monopolar EEC components for stimulation with a biphasic current pulse of different shape: rectangle (top left), sine (top right), sawtooth (bottom left), triangle (bottom right), see Fig. 3.