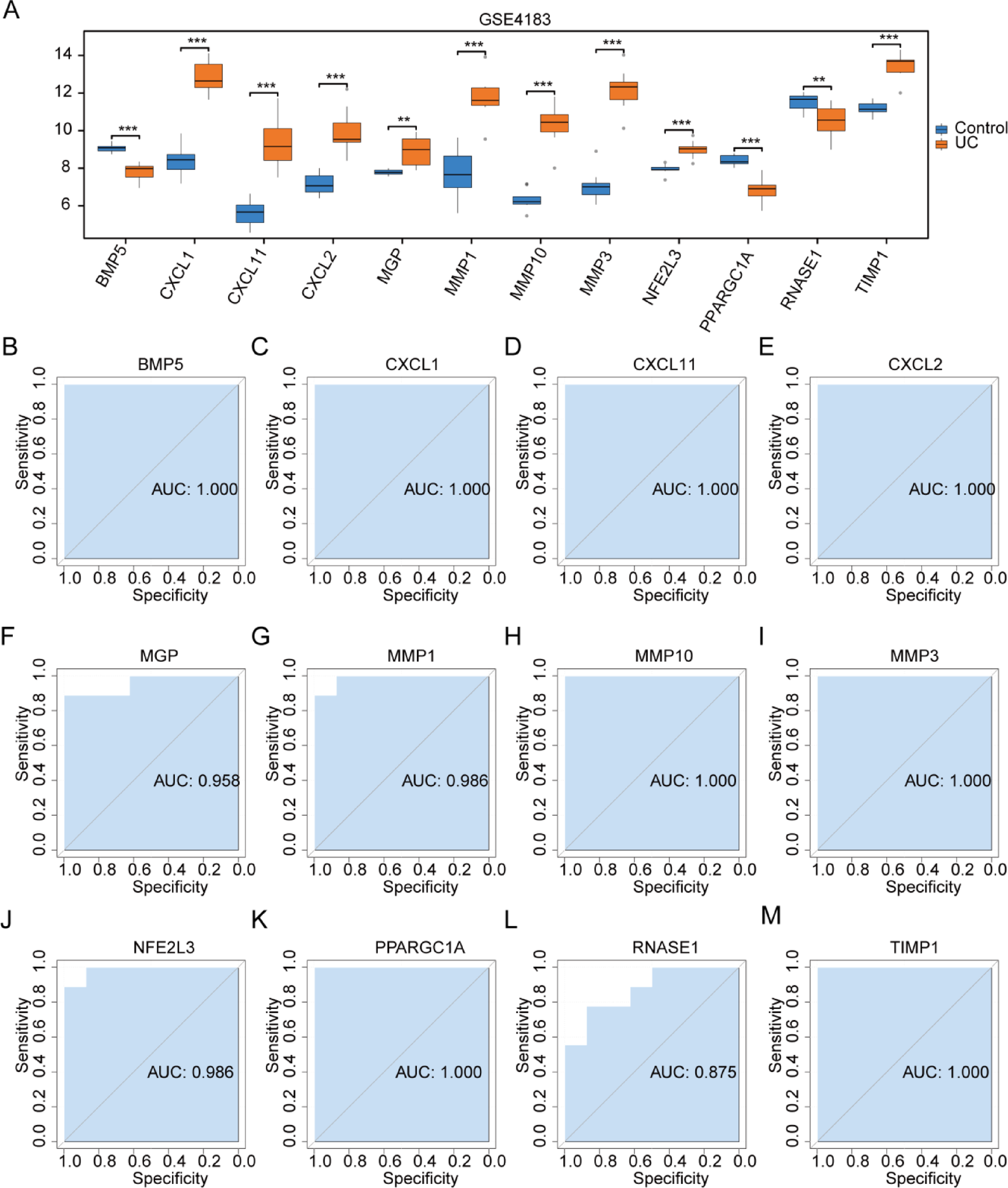
Fig. 9

Boxplot Expression Analysis and ROC Curves of OXSRDEGs in GSE4183. (A) The boxplot comparison of OXSRDEGs’ expression in the GSE4183 dataset (COADREAD/Control) is illustrated. (B–M) The ROC curves for OXSRDEGs (BMP5(B), CXCL1(C), CXCL11(D), CXCL2(E), MGP (F), MMP1(G), MMP10(H), MMP3(I), NFE2L3(J), PPARGC1A (K), RNASE1(L), TIMP1(M)) in the GSE4183 dataset are presented. ‘ns’ indicates P ≥ 0.05, denoting no statistical significance; * denotes P < 0.05, indicating statistical significance; ** signifies P < 0.01, representing high statistical significance; *** indicates P < 0.001, highlighting extremely high statistical significance. The proximity of the AUC in the ROC curve to 1 correlates with improved diagnostic performance. An AUC ranging from 0.5 to 0.7 suggests low accuracy; an AUC between 0.7 and 0.9 indicates moderate accuracy; an AUC exceeding 0.9 signifies high accuracy. OXSRDEGs stands for Oxidative Stress Related Differentially Expressed Genes; COADREAD denotes Colorectal Carcinoma; UC refers to Ulcerative Colitis.