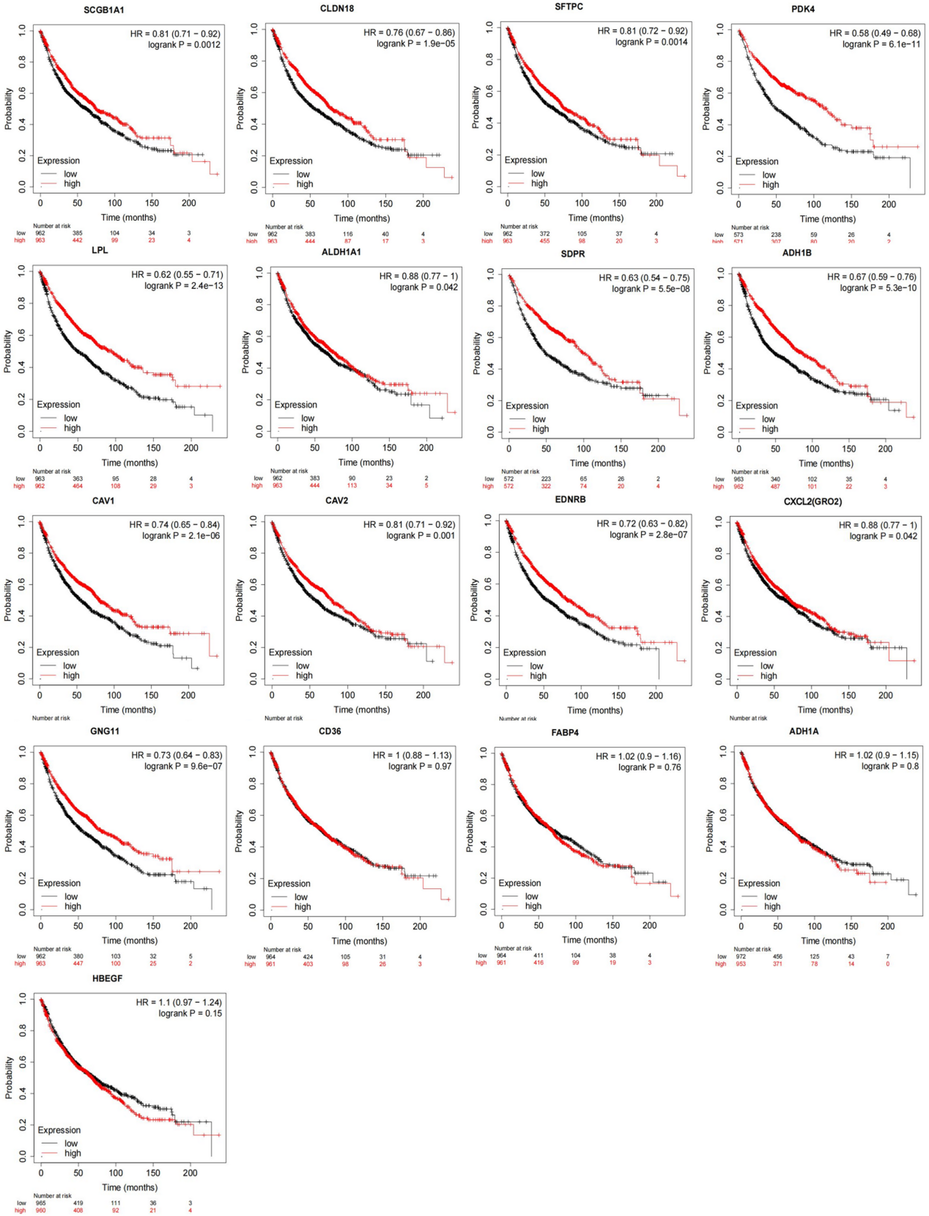
Fig. 2
From: Caveolin-1 inhibits the proliferation and invasion of lung adenocarcinoma via EGFR degradation

The survival information of the core genes. Kaplan-Meier plotter online tools were utilized to identify the prognostic information of the 17 core genes. Thirteen of the 17 genes were verified to be related with a significantly better survival rate (P < 0.05).