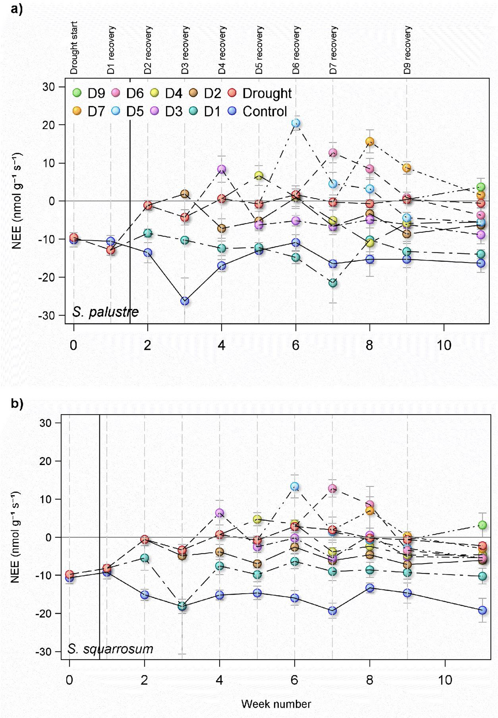
Fig. 2
From: Recovery of Sphagnum from drought is controlled by species-specific moisture thresholds

Net ecosystem exchange of CO2 (NEE) measured from microcosms of two Sphagnum species (S. palustre (a) and S. squarrosum (b)). Microcosms were kept inundated (control), droughted (drought) or droughted then rewetted after a number of weeks (e.g. D1 = rewetted after 1 week drought). Negative values of NEE indicate net uptake of CO2. Vertical dashed lines indicate timing of drought and recovery periods. The solid vertical lines indicate the timepoint at which the Sphagnum biomass dropped below the optimum moisture content for NEE, and subsequently failed to recover. Data shown are means for each treatment (n = 5 ± 1SE, with the exception of Drought, where initial n = 45 and declined by 5 each week).