Fig. 6

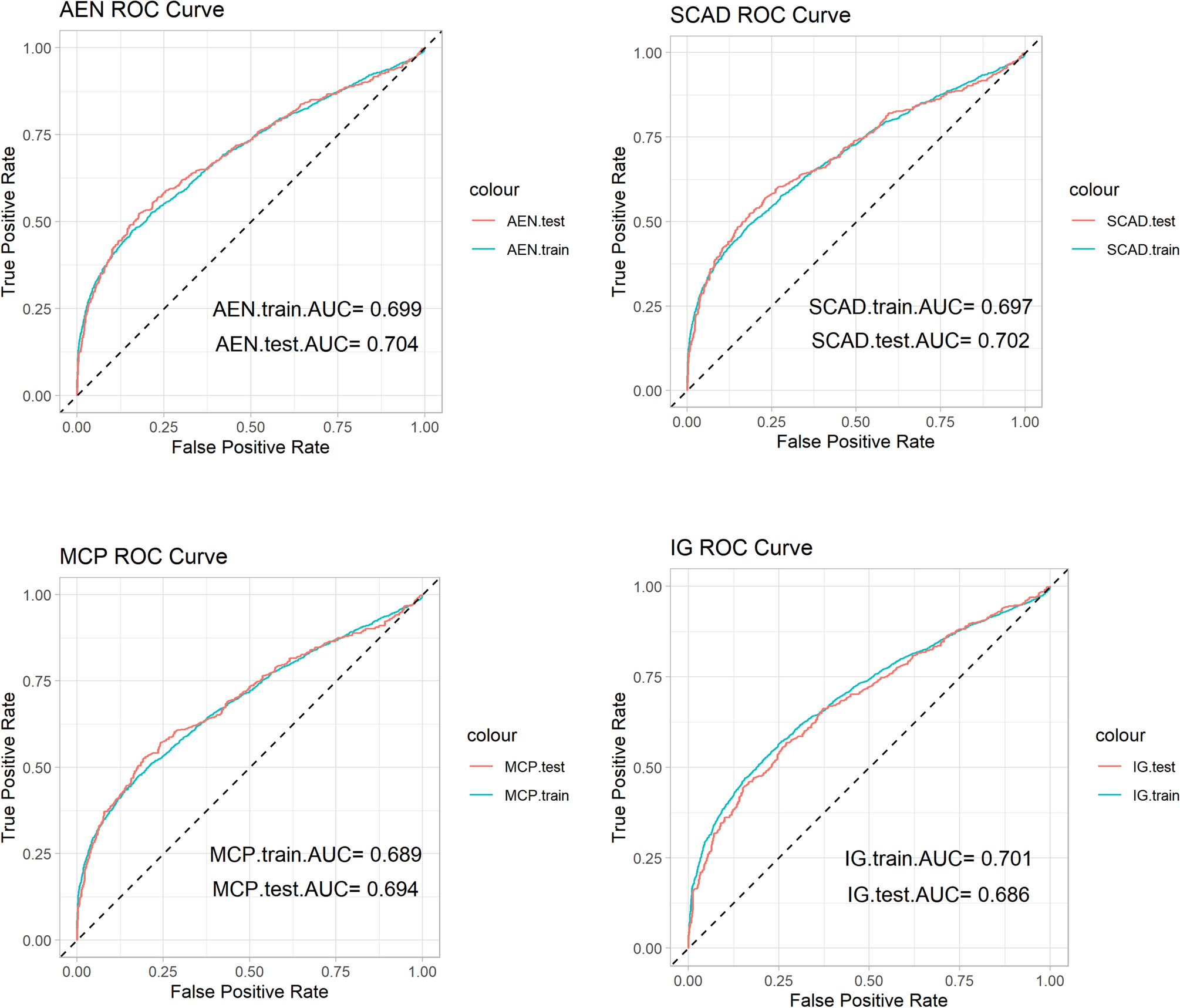
ROC curves and corresponding AUC values for four feature selection methods: AEN, SCAD, MCP, and IG, comparing their performance on training and test data.

ROC curves and corresponding AUC values for four feature selection methods: AEN, SCAD, MCP, and IG, comparing their performance on training and test data.