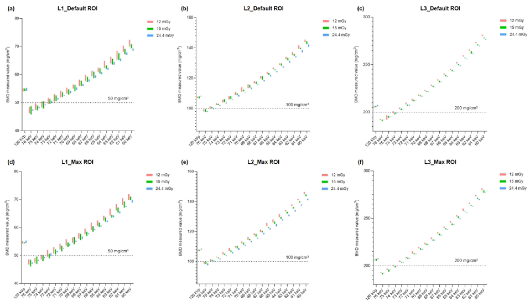
Fig. 2
From: Application of virtual monochromatic images in bone mineral density measurements: a phantom study

BMD measurements based on 120-kVp images and VMIs at 60–76 keV with different ROI sizes and radiation doses. The dashed lines represent the true HA concentration of the corresponding vertebral insert. BMD bone mineral density, HA hydroxyapatite, kVp peak tube voltage, ROI region of interest, VMI virtual monochromatic image.