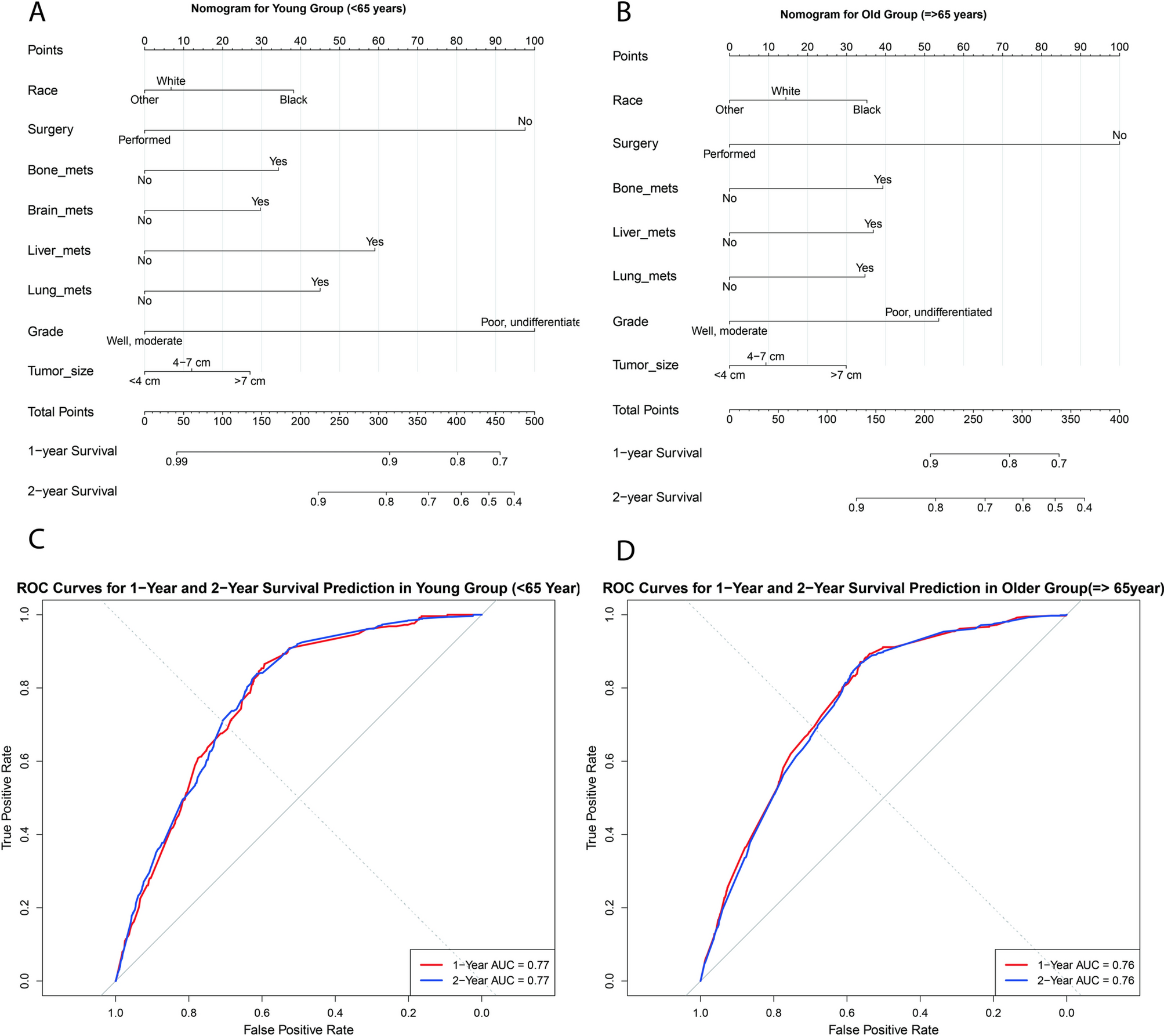
Fig. 7

(A,B). Nomogram prediction model for 1- and 2-year survival based on significant variables in each age group during the ICI era, with concordance indices (C-index) of 0.75 for the younger group and 0.74 for the older group. (C,D) Receiver Operating Characteristic (ROC) curves evaluating the predictive accuracy of the nomogram at 1 and 2 years for both age groups in the ICI era.