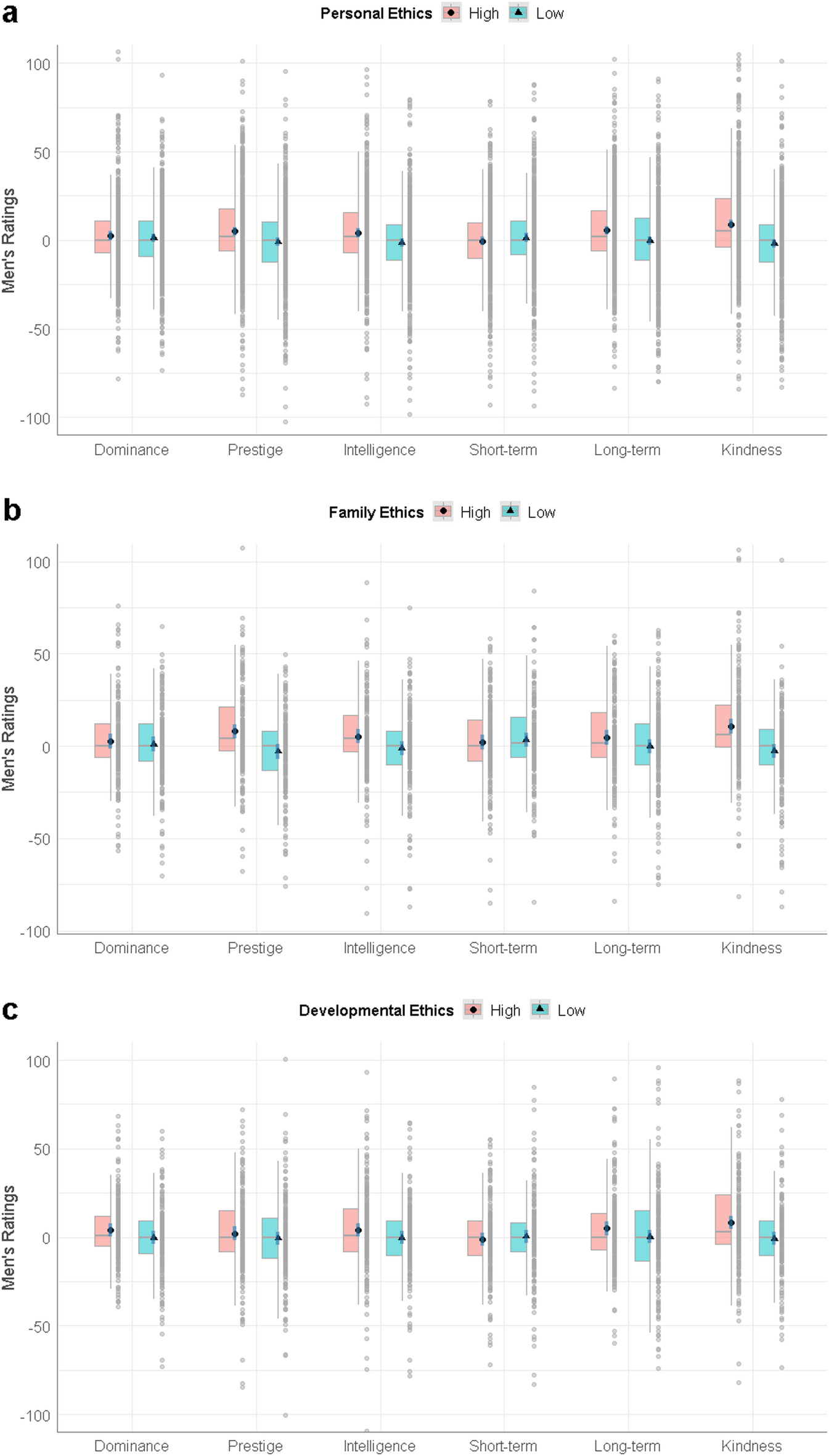
Fig. 2
From: Ethics trumps resources in women’s and men’s evaluations of potential mates and competitors

Post-hoc comparisons between high and low ethics for men’s ratings across vignettes. Ratings differ significantly between high and low ethics for each trait, except dominance and short-term attractiveness in personal (a) and family/parental (b) ethic vignettes. Ratings differ significantly between high and low ethics for each trait, except prestige and short-term attractiveness in developmental (c) ethic vignettes.