Fig. 4
From: Neural network models for diagnosing recurrent aphthous ulcerations from clinical oral images

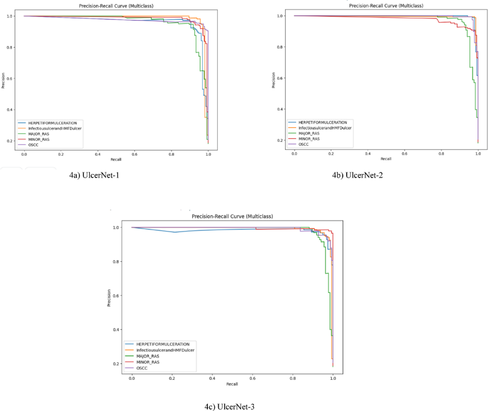
Precision vs. recall of various custom model (UlcerNet).
From: Neural network models for diagnosing recurrent aphthous ulcerations from clinical oral images

Precision vs. recall of various custom model (UlcerNet).