Fig. 7
From: Discrete Poisson Haq distribution with mathematical properties and count data modeling

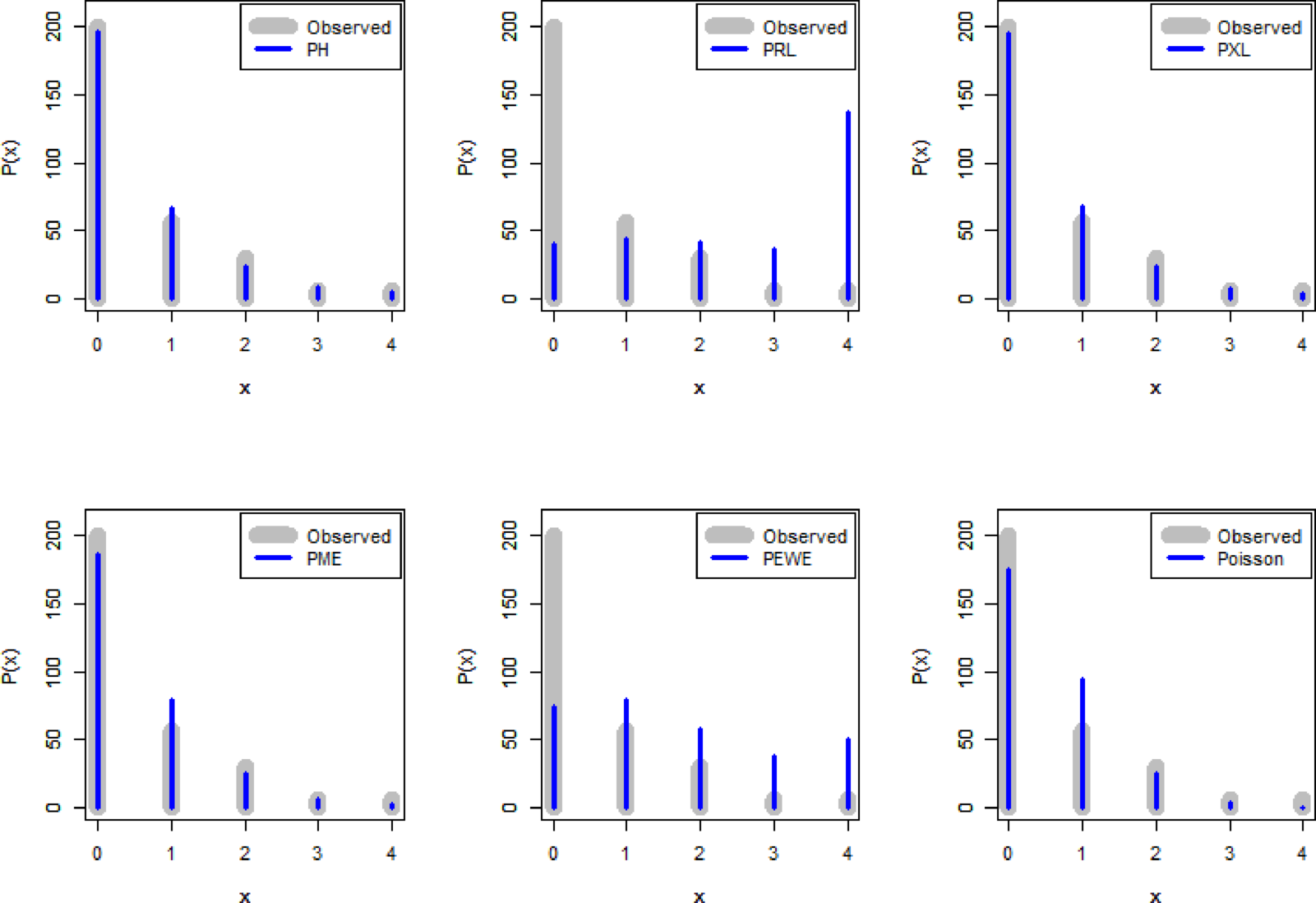
Obs. and Exp. Frequencies of all fitted distributions for the cytogenetic dosimetry lesions dataset.
From: Discrete Poisson Haq distribution with mathematical properties and count data modeling

Obs. and Exp. Frequencies of all fitted distributions for the cytogenetic dosimetry lesions dataset.