Fig. 19
From: Research on damage identification in T-beam bridges based on strain influence lines

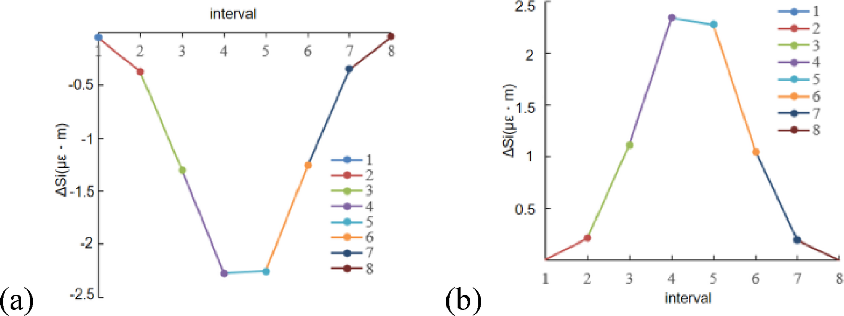
The curve of the difference between the envelope area of each interval of the measurement point across the damaged state of the diaphragm in the mid-span: (a) The edge beam; and (b) The middle beam.