Fig. 11
From: Impact of a liquid spray on flow characteristics of carbonized slag in a hot fluidized bed

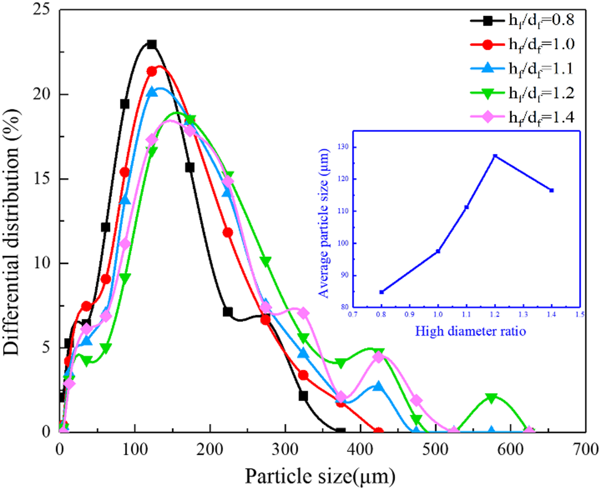
Variations of particle size distribution under different height-to-diameter ratios (hf/df).
From: Impact of a liquid spray on flow characteristics of carbonized slag in a hot fluidized bed

Variations of particle size distribution under different height-to-diameter ratios (hf/df).