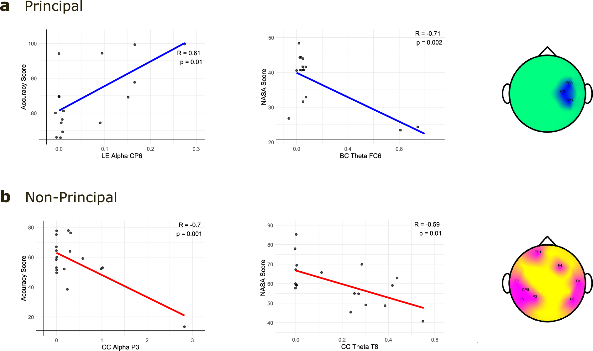
Fig. 8

Relationships between graph metrics and behavioral data. (a) The most significant relationships between the graph metrics and the accuracy scores and NASA-TLX scores in the principal group. The x-axis denotes the values of the graph metrics, whereas the y-axis represents the associated behavioral performance scores. In the alpha band, a positive correlation was found between the local efficiency (LE) values of all the subjects in the principal group and their corresponding accuracy scores. Conversely, in the theta band, a negative correlation was observed between the betweenness centrality (BC) values of all principal subjects and their NASA-TLX scores. The third column displays a topographic plot of electrodes showing significant correlations between at least one graph metric and behavioral scores in the principal condition, as detailed in Table 1. These electrodes are colored in blue. (b) The strongest correlations between the graph metrics and accuracy scores, along with the NASA-TLX scores, in the non-principal group. In the alpha and theta bands, significant negative correlations were found between the clustering coefficient (CC) of NP brain networks and both accuracy scores and NASA-TLX scores. The third column presents a topographic plot of electrodes with significant correlations between at least one graph metric and behavioral scores in the non-principal condition, as reported in Table 1. These electrodes are colored in pink.