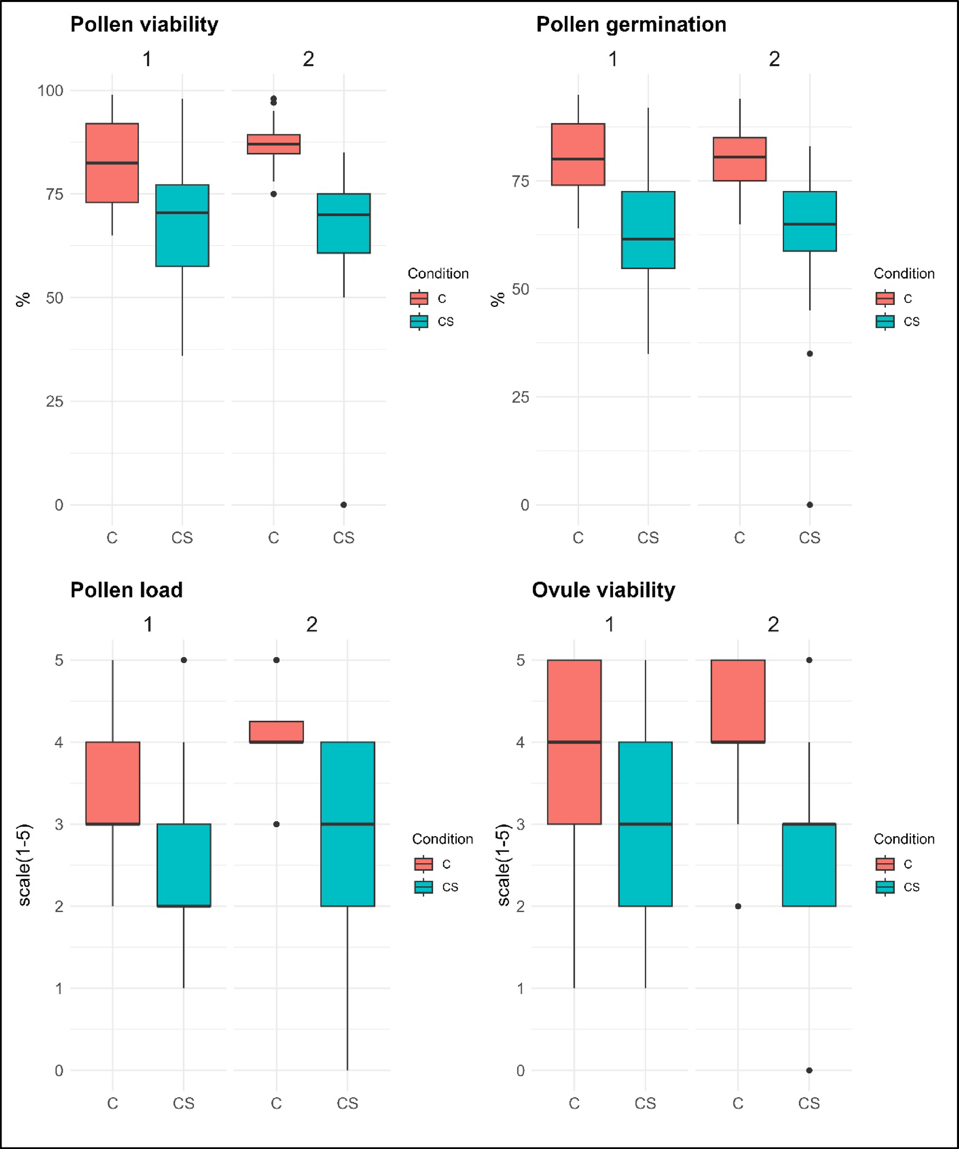
Fig. 6

Boxplots showing the effect of control (C) and cold stress (CS) conditions on the pollen viability (PV), pollen germination (PG), pollen load (PL) and ovule viability (OV) across two consecutive screening years (1 and 2). Boxes represent interquartile ranges; whiskers indicate variability outside the upper and lower quartiles; dots represent outliers.