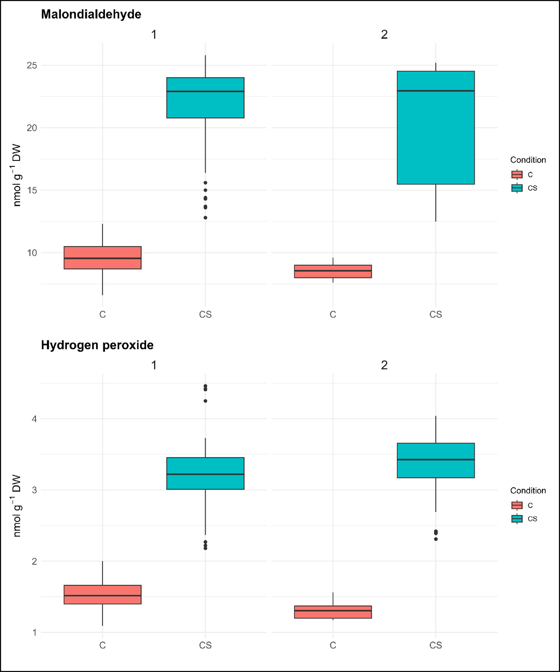
Fig. 9

Boxplots showing the effect of control (C) and cold stress (CS) conditions for the oxidative stress markers malondialdehyde content (MDA) and hydrogen peroxide (H2O2) across two consecutive screening years (1 and 2). Boxes represent interquartile ranges; whiskers indicate variability outside the upper and lower quartiles; dots represent outliers.