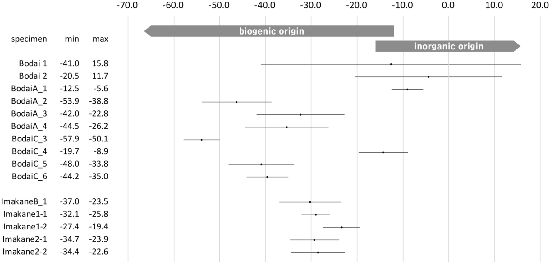
Fig. 7

Carbon isotope ratios (δ13C) of carbonaceous materials (CMs) within the filamentous fabrics of green moss agates from the Bodai and Imakane districts, analyzed using NanoSIMS. Numerical values (left) and corresponding graphical representations are presented. The limits of the labels “biogenic origin” and “inorganic origin” are based on previously reported literatures18,19,20,21,22,23,24. Imakane1_1 and Imakane1_2, and Imakane2_1 and Imakane2_2 were repeated analyses of the same specimens respectively. All specimens are deposited in the Toyama Science Museum.