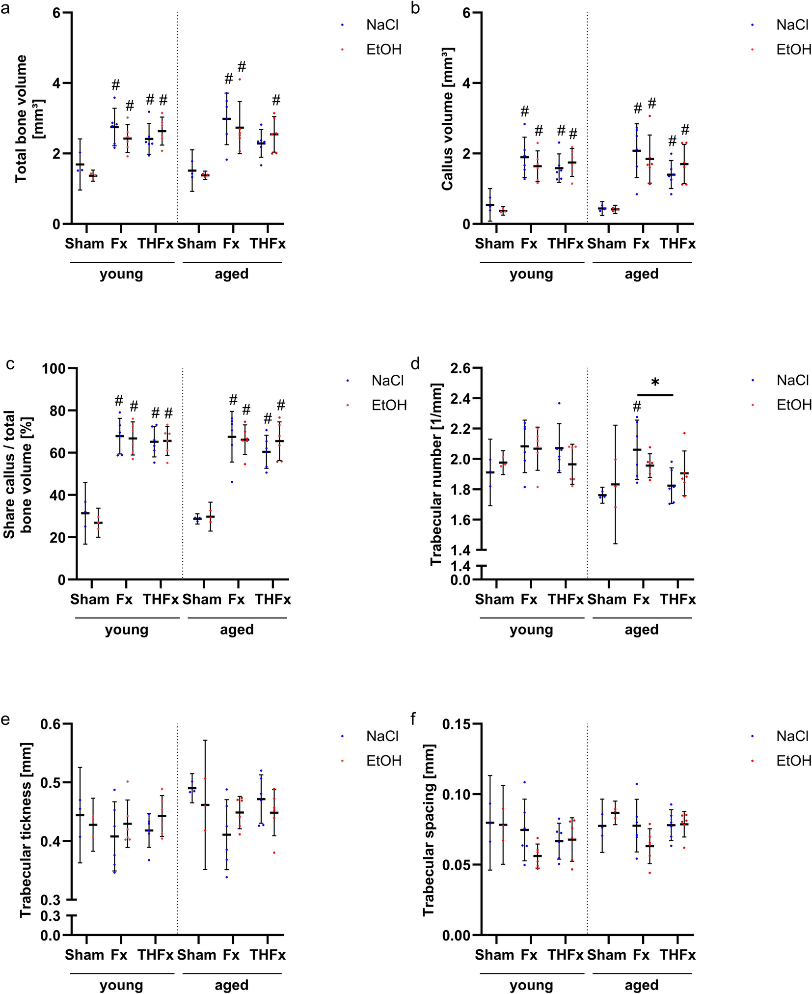
Fig. 5

Analysis of µCT parameters. No effects of single binge alcohol consumption on fracture healing was detectable via µCT for the analyzed parameters total bone volume (a), callus volume (b), share callus/total bone volume (c), trabecular number (d), thickness (e) and spacing (f). With an additional blood loss, aged mice only showed a lower trabecular number in contrast to an isolated fracture (d). * p < 0.05 vs. indicated groups, # p < 0.05 vs. respective Sham. n = 3 for Sham; n = 6 for Fx and THFx.