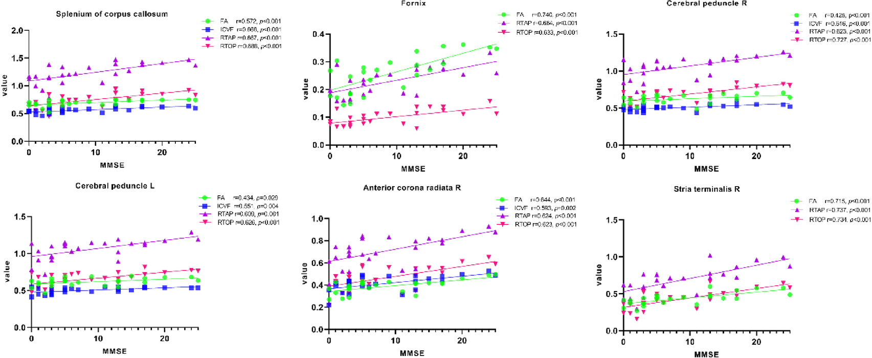
Fig. 3
From: Analysis of advanced diffusion models assessing white matter microstructure in Alzheimer’s disease

The MMSE scores in AD patients were markedly related to the diffusion parameters in six brain regions. Each scatterplot exhibits the relationship between the MMSE scores (x-axis) and the specific diffusion imaging parameters (y-axis) for the corresponding brain area. L, Left; R, right. AD, Alzheimer’s disease; FA, fractional anisotropy; ICVF, intracellular volume fraction; MMSE, Mini-Mental State Examination; RTAP, return-to-axis probability; RTOP, return-to-origin probability.