Fig. 4
From: Analysis of advanced diffusion models assessing white matter microstructure in Alzheimer’s disease

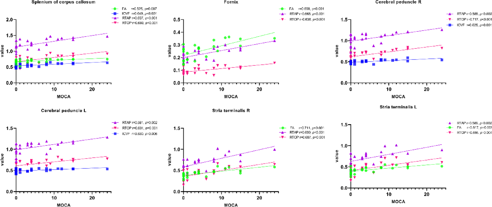
The MoCA scores in AD patients were markedly related to the diffusion parameters in six brain regions. Each scatterplot exhibits the relationship between the MoCA scores (x-axis) and the specific diffusion imaging parameters (y-axis) for the corresponding brain area. MoCA, Montreal cognitive assessment.