Fig. 11

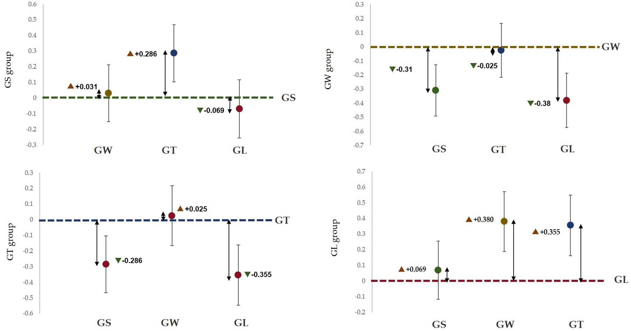
Comparison of the mean difference of the C (Confusion) sentiment on the basis of pairwise comparisons of the estimation margins.

Comparison of the mean difference of the C (Confusion) sentiment on the basis of pairwise comparisons of the estimation margins.