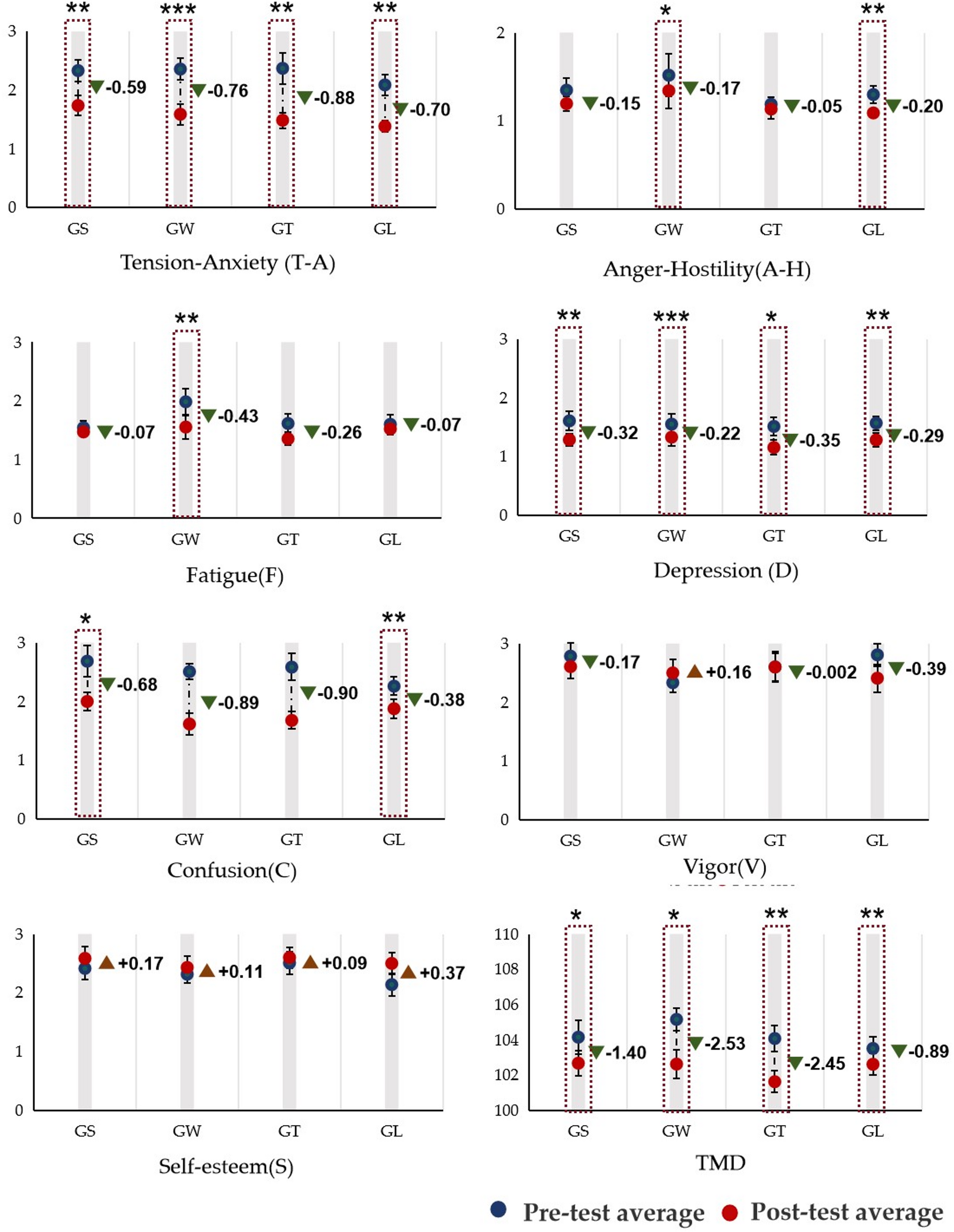
Fig. 9

Effects of different behavioural patterns on the pre- and posttests of emotions (average ± standard deviation, ***p < 0.001, **p < 0.01, *p < 0.05).

Effects of different behavioural patterns on the pre- and posttests of emotions (average ± standard deviation, ***p < 0.001, **p < 0.01, *p < 0.05).