Fig. 2

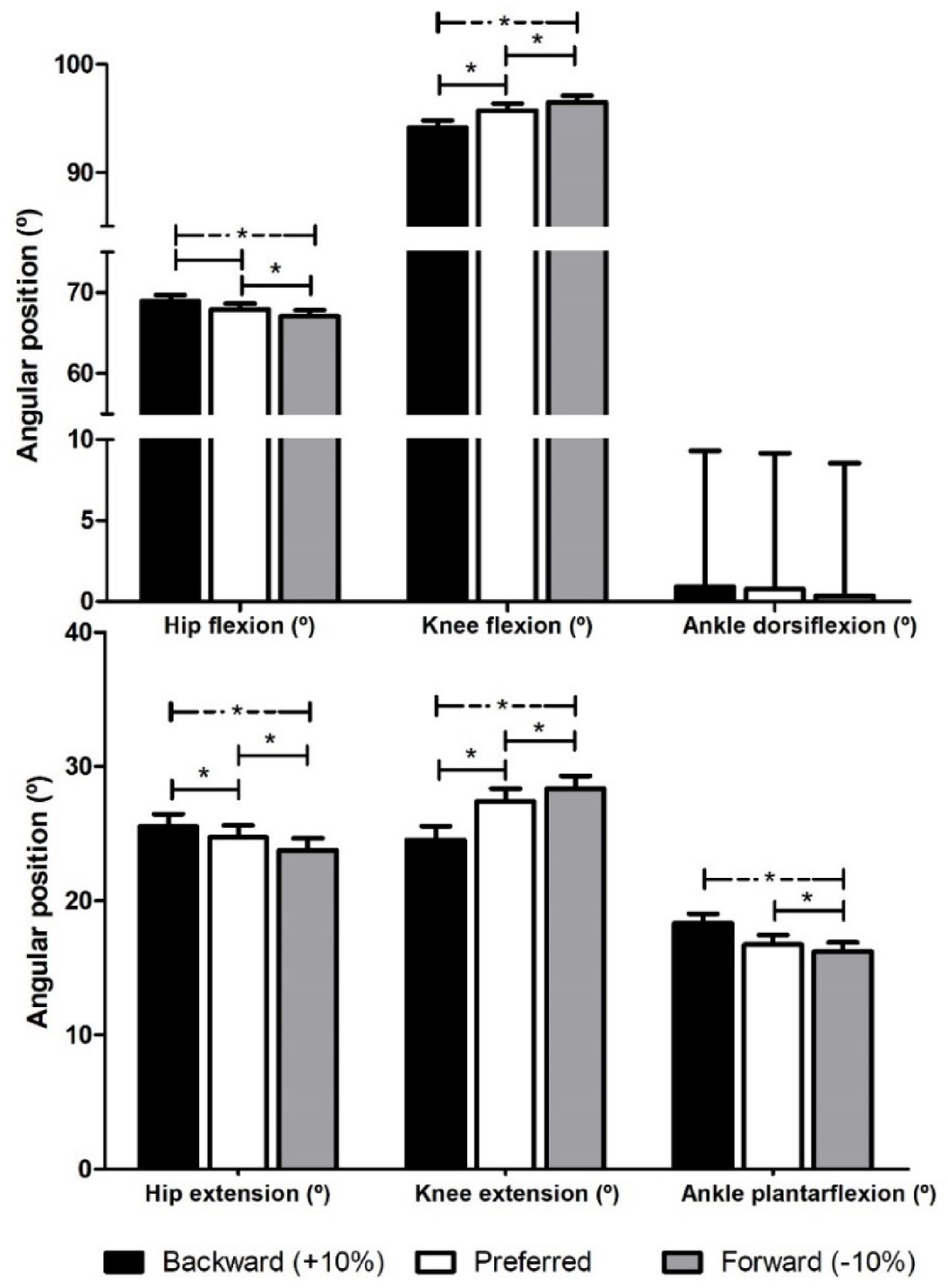
Hip, knee, and ankle differences between saddle setbacks. Full sample of recreational cyclists (n = 34). *Statistical differences (p < 0.05).

Hip, knee, and ankle differences between saddle setbacks. Full sample of recreational cyclists (n = 34). *Statistical differences (p < 0.05).