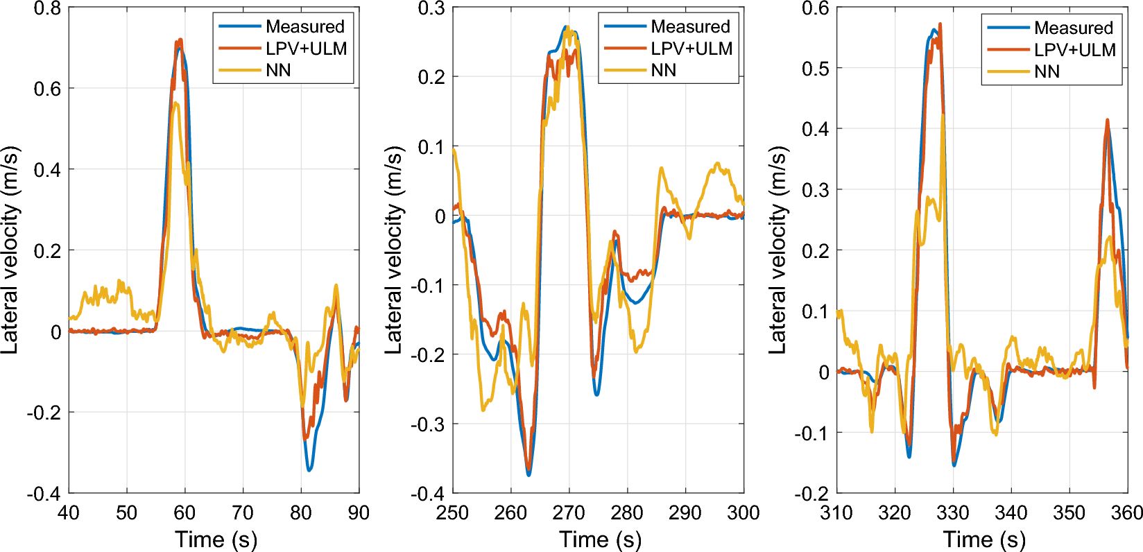
Fig. 14
From: An improved observer design approach for autonomous vehicles using error-based ultra-local model

Comparison of NN and ULM approaches.
From: An improved observer design approach for autonomous vehicles using error-based ultra-local model

Comparison of NN and ULM approaches.