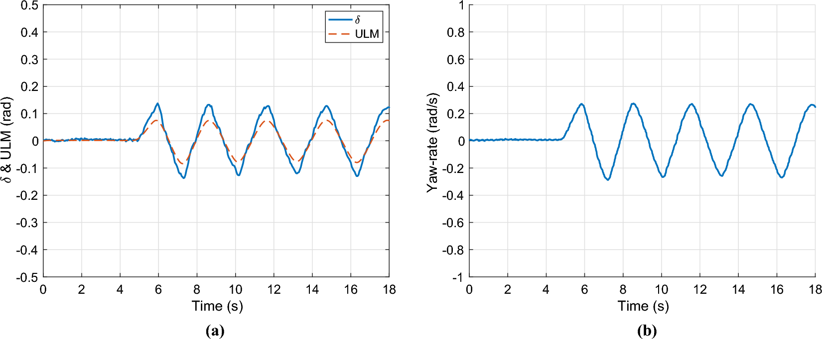
Fig. 5
From: An improved observer design approach for autonomous vehicles using error-based ultra-local model

Control inputs & parameter \(\alpha\).
From: An improved observer design approach for autonomous vehicles using error-based ultra-local model

Control inputs & parameter \(\alpha\).