Fig. 6

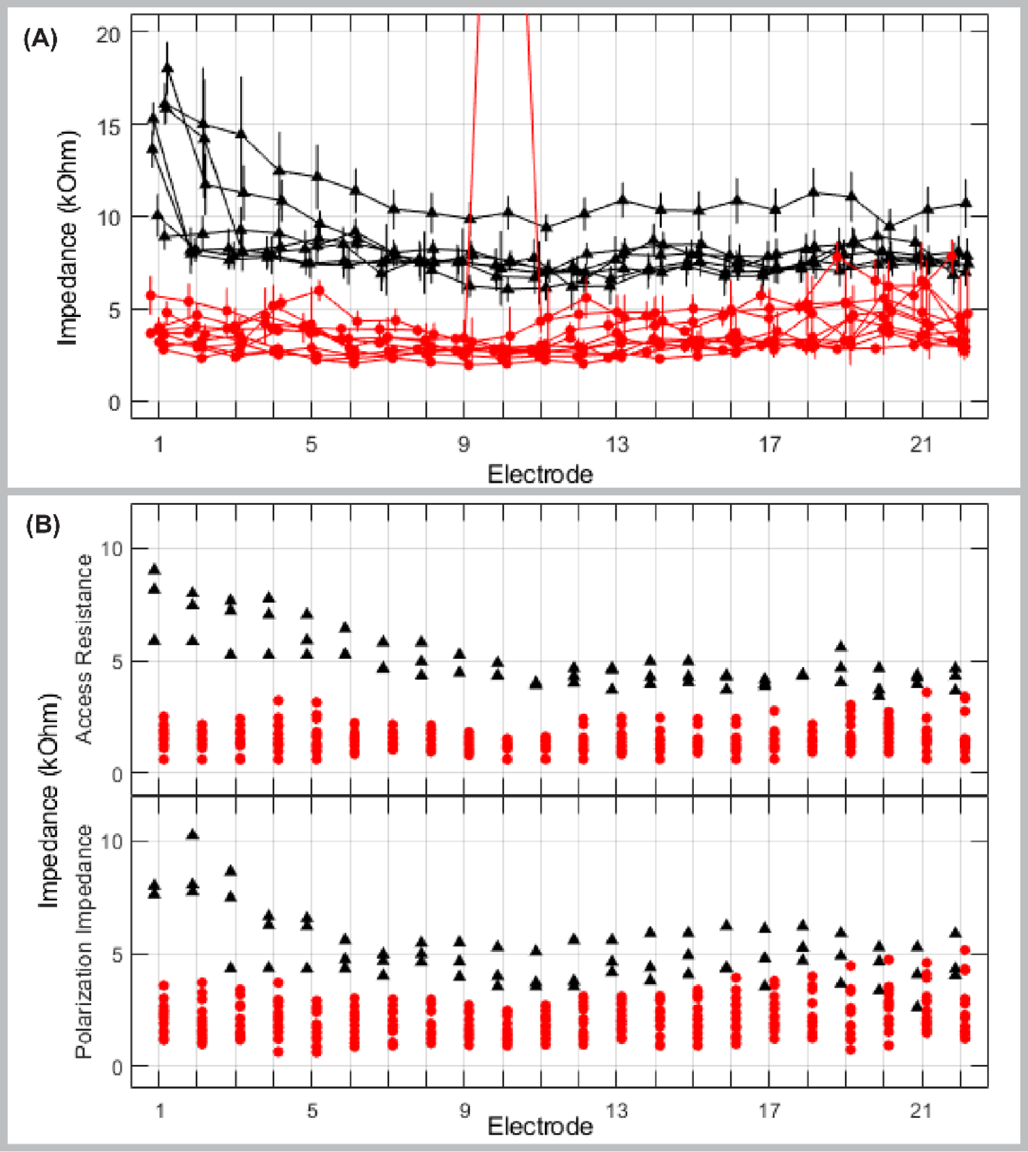
Impedance values from human subjects following cochlear implantation. (A) Summary of remotely measured impedance values from human subsects (1: most basal; 22: most apical electrode) for 17 participants. Black indicates a standard 632 array (N = 7). Red indicates a dexamethasone-eluting 632D array (N = 10). Triangles (632) or circles (632D) mark the mean across all available remote impedance measurements for a given participant; vertical bars extend +/- 1 standard deviation. Random jitter was added around the electrode number to help with visualization of individual data. (B) Scatterplots for access resistance (top panel) and polarization impedance (bottom panel) at 3-months post activation to compare measurements in ears implanted with standard 632 arrays (black triangles; N = 3) and ears with 632D arrays (red circles; N = 15) for each electrode (1: most basal; 22: most apical).