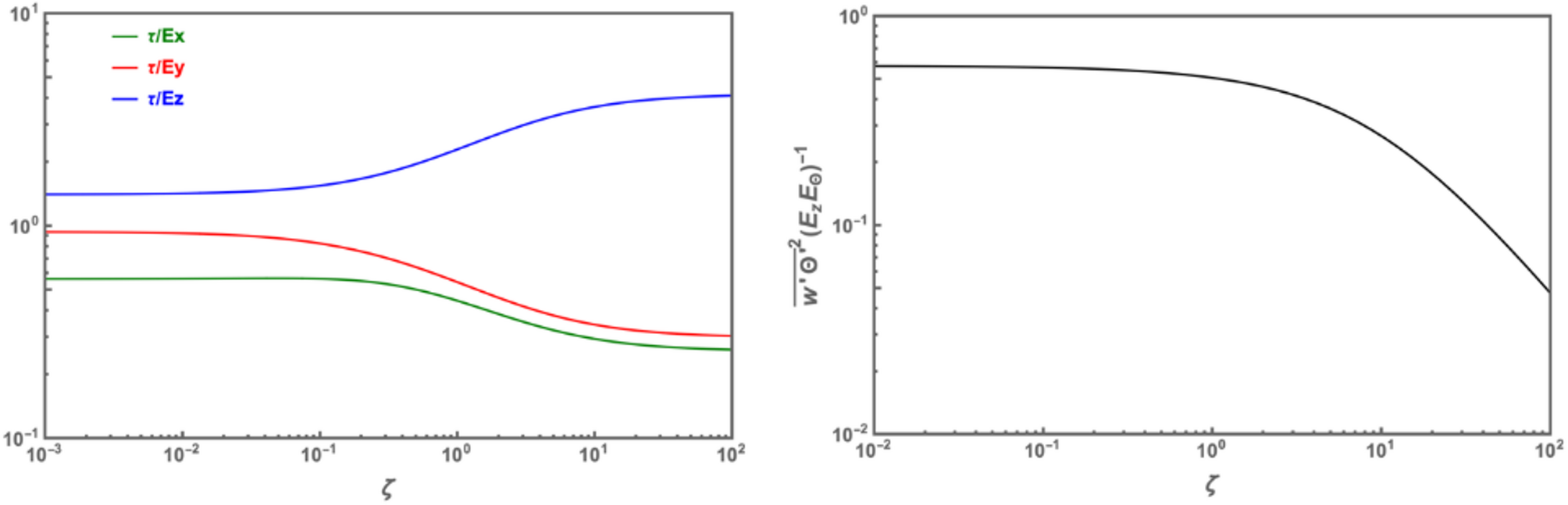
Fig. 3

Behaviour of the three normalized vertical fluxes of momentum (left panel) and potential temperature (right panel) as a function of \(\zeta\); the contrasting trend of \(\tau /{E_z}\) compared to both \(\tau /{E_x}\) and \(\tau /{E_y}\) reflects the TKE exchange among components.