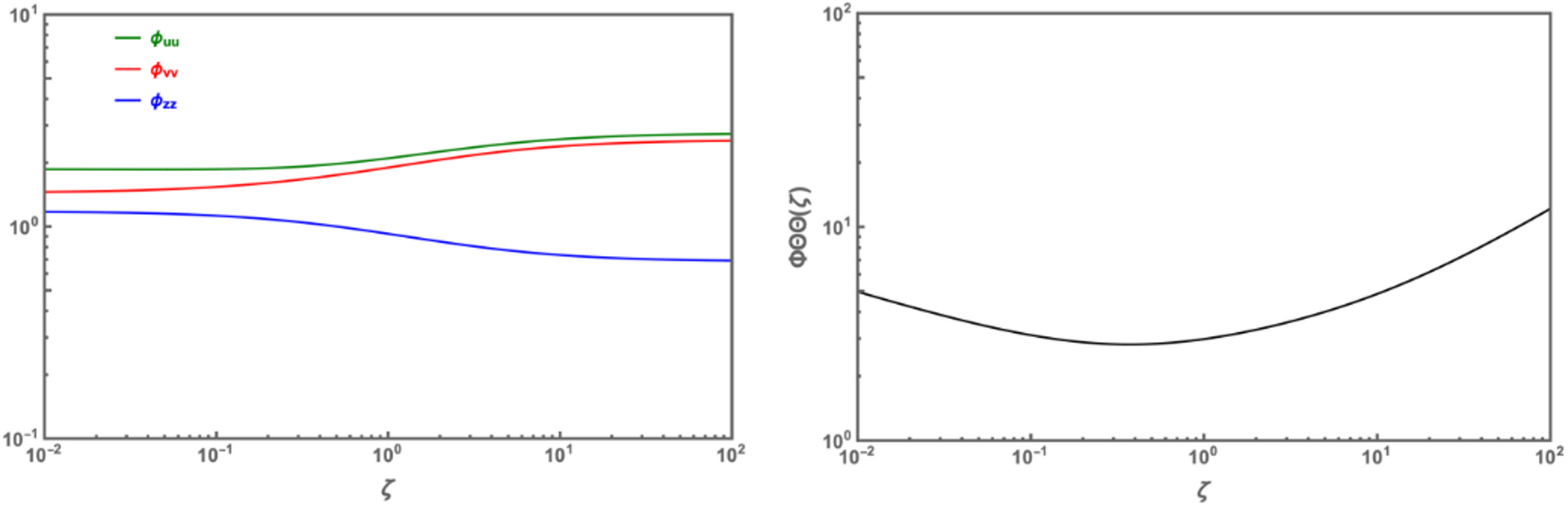
Fig. 4

Behaviour of the universal functions for standard deviations (left panel) and potential temperature (right panel) as a function of ζ; according to the intercomponent exchange of TKE, wind standard deviations tend towards horizontal isotropy as stability increases.