Fig. 2
From: Potassium nitrate (kno₃) seed priming enhances soybean seed performance

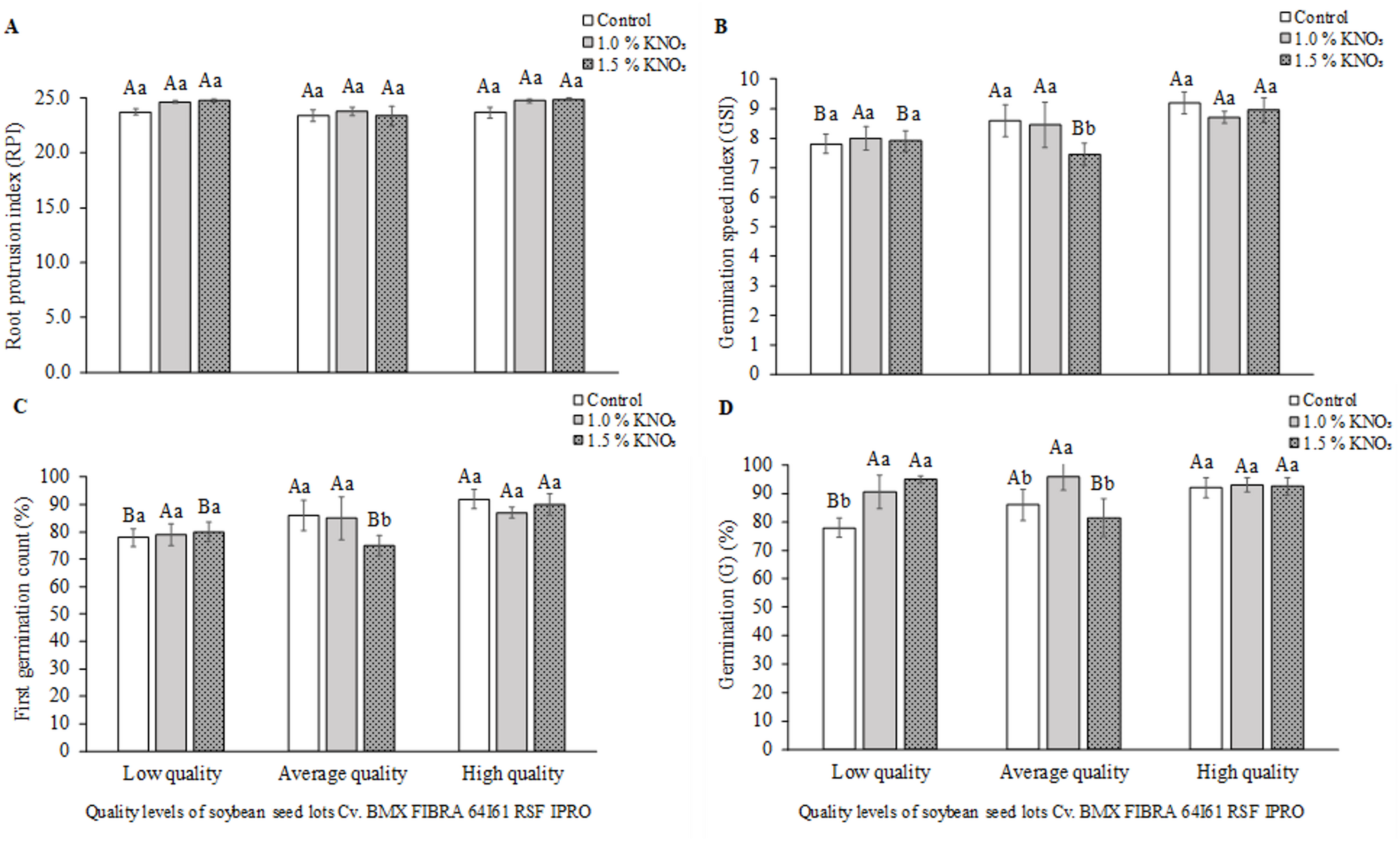
Germination parameters of soybean seed lots cv. BMX Potência FIBRA 64I61 RSF IPRO after physiological conditioning with KNO3. (A) Root protusion index (RPI), (B) germination speed index (GSI), (C) first germination count (PC, %), and (D) germination (G, %) of soybean seeds belonging to lots with low (≤ 80%), medium (≥ 85%) and high (≥ 90%) quality levels primed with potassium nitrate (KNO3) solutions. Capital letters compare the same KNO3 concentration in different soybean seed lots, Lowercase letters compare different KNO3 concentrations in the same soybean seed lot (Tukey test, p<0.05).