Fig. 6

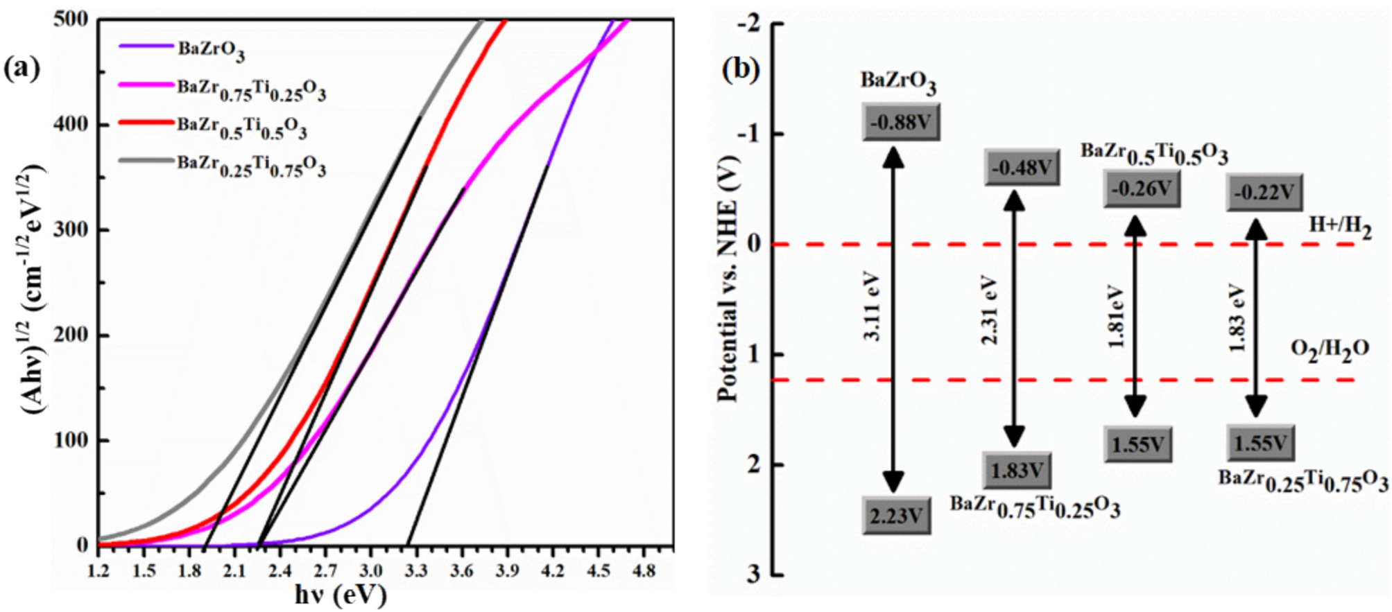
(a) Tauc’s plot showing the optical bandgap, and (b) the theoretically calculated band edge potentials for BaZr1-xTixO3 (x = 0, 0.25, 0.5, 0.75).

(a) Tauc’s plot showing the optical bandgap, and (b) the theoretically calculated band edge potentials for BaZr1-xTixO3 (x = 0, 0.25, 0.5, 0.75).