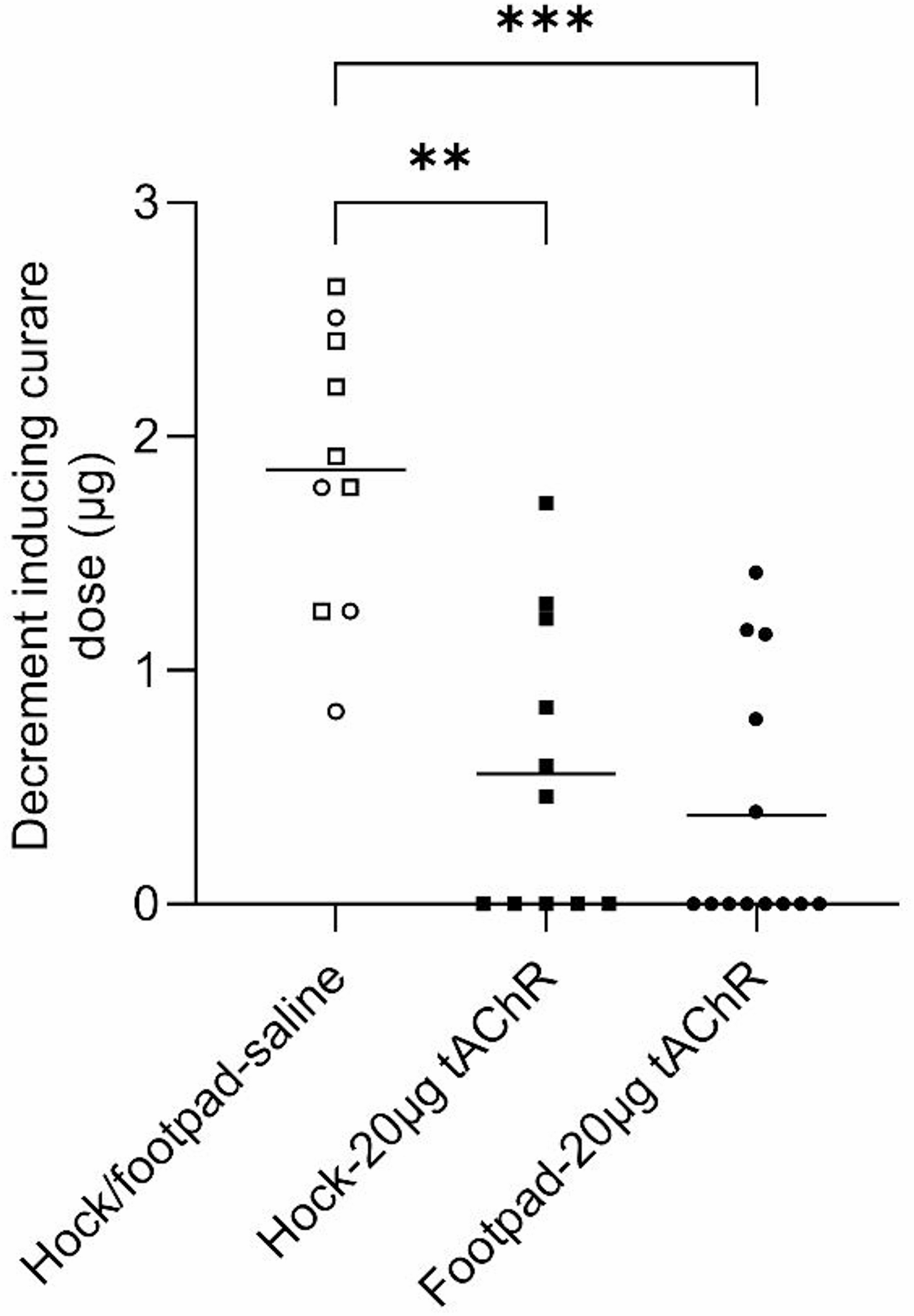
Fig. 5

Muscle AChR content at terminal. Decrement-inducing curare dose during EMG as an indirect measurement of the amount of AChR in the muscles from phase 2 experiment. Only animals with 3 consecutive decrement measurements have been included. Kruskal-Wallis with Dunn’s post hoc testing was used for statistical analyses. **p < 0.01 and ***p < 0.001. Hock-saline (n = 6), footpad-saline (n = 4), hock-20 µg tAChR (n = 31), hock-40 µg tAChR (n = 11) and footpad-20 µg tAChR (n = 13).