Fig. 11

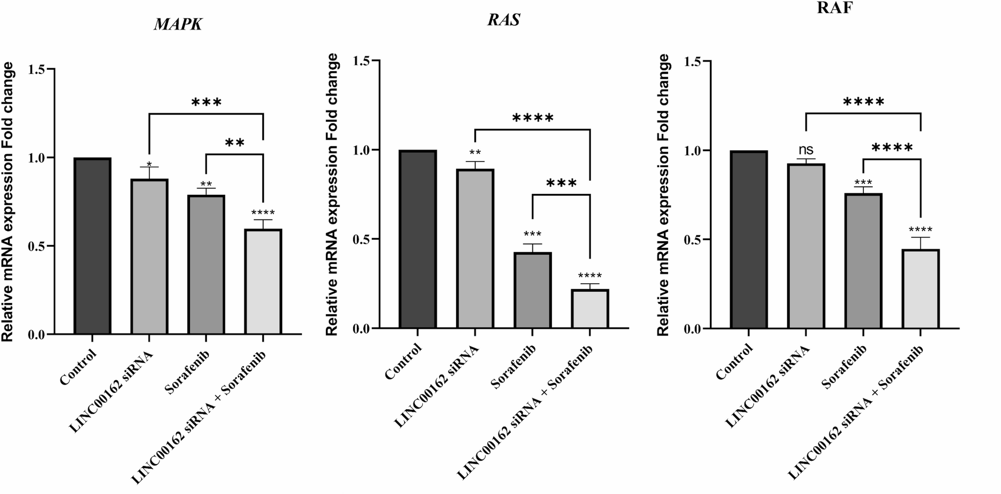
Analysis of the effect of LINC00162 siRNA transfection combined with sorafenib on the expression of MAPK, RAS, and RAF by qRT-PCR (****p < 0.0001, ***p < 0.001, **p < 0.01, *p < 0.05; ns = not significant).

Analysis of the effect of LINC00162 siRNA transfection combined with sorafenib on the expression of MAPK, RAS, and RAF by qRT-PCR (****p < 0.0001, ***p < 0.001, **p < 0.01, *p < 0.05; ns = not significant).