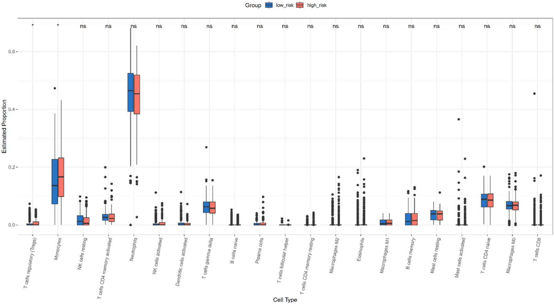
Fig. 14

Differential Immune Cell Infiltration Between Risk Groups Boxplots comparing the proportions of 22 immune cell subsets in high- (red) versus low-risk (blue) patients. “*” indicates P < 0.05; “ns” denotes no significant difference.

Differential Immune Cell Infiltration Between Risk Groups Boxplots comparing the proportions of 22 immune cell subsets in high- (red) versus low-risk (blue) patients. “*” indicates P < 0.05; “ns” denotes no significant difference.