Fig. 7

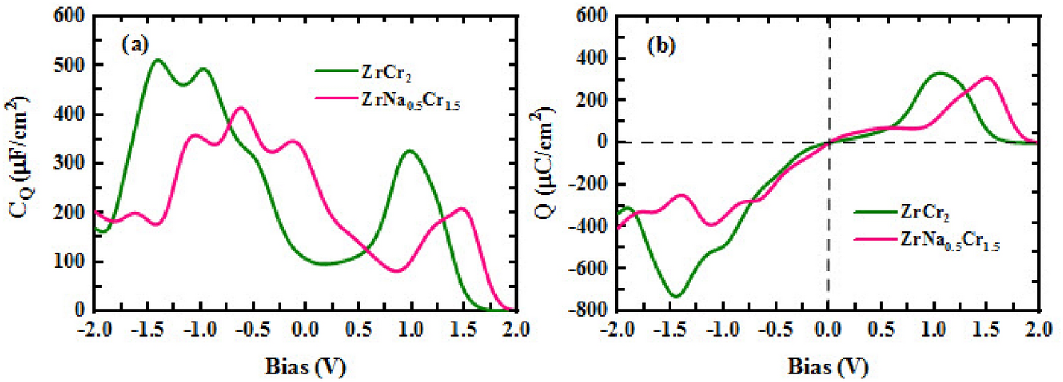
(a): The areal quantum capacitance and (b): the areal charge storage as function of bias for \(\hbox {ZrCr}_2\) and \(\hbox {ZrNa}_{0.5}\hbox {Cr}_{1.5}\).

(a): The areal quantum capacitance and (b): the areal charge storage as function of bias for \(\hbox {ZrCr}_2\) and \(\hbox {ZrNa}_{0.5}\hbox {Cr}_{1.5}\).