Fig. 3
From: On the oscillation criteria for neutral differential equations with several delays

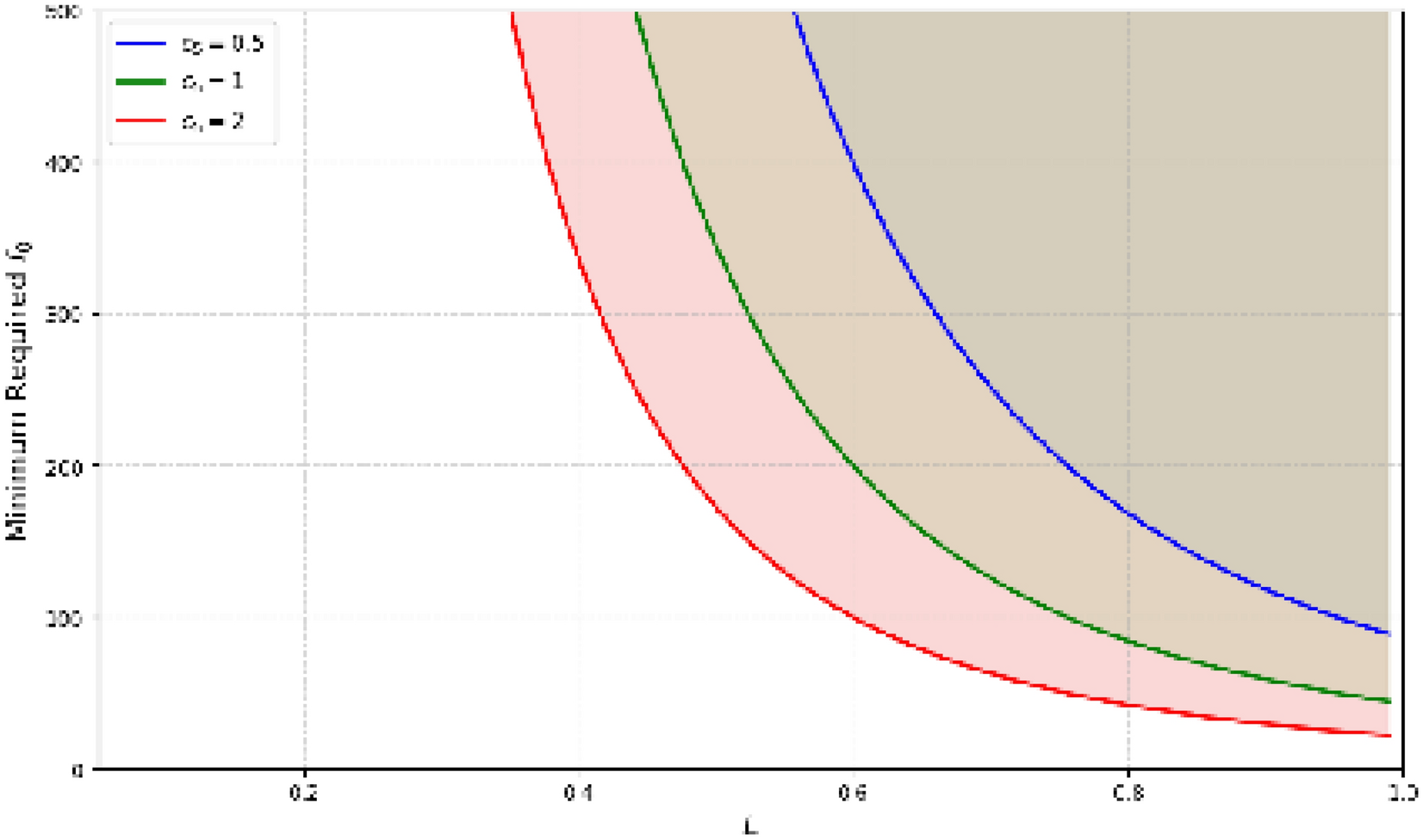
Oscillation Regions for Different \(c_{5}\) Values.
From: On the oscillation criteria for neutral differential equations with several delays

Oscillation Regions for Different \(c_{5}\) Values.