Fig. 2

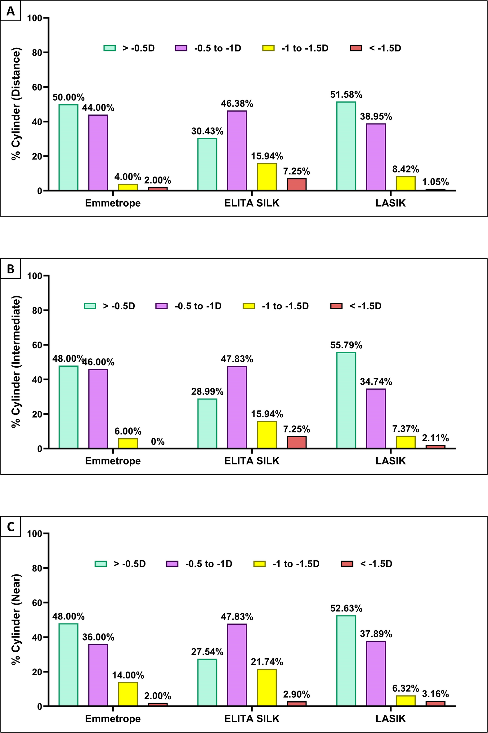
Proportion of eyes with postoperative sphere > − 0.5D, − 0.5D to − 1D and < − 1D at distance (A), intermediate (B) and near (C) distances in the three groups of eyes.

Proportion of eyes with postoperative sphere > − 0.5D, − 0.5D to − 1D and < − 1D at distance (A), intermediate (B) and near (C) distances in the three groups of eyes.