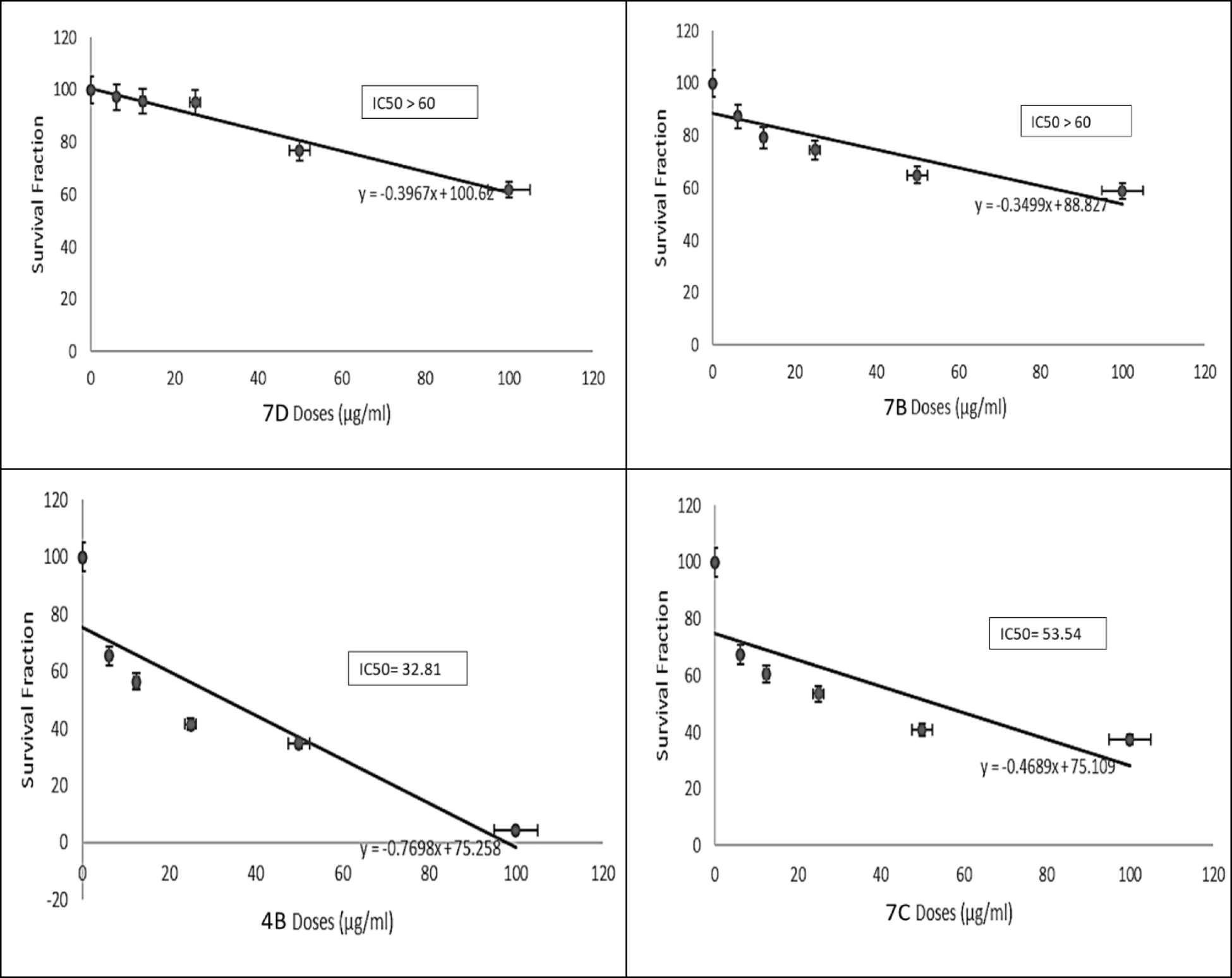
Fig. 8

Effect of synthesized compounds on PC3 cells viability. Survival fraction evaluated using the MTT assay after 48 h of treatment with varying concentrations of compounds (6.25–100) µg/ml. Data are expressed as mean ± SD from three independent experiments. * p˂0.01 compared to untreated cells.