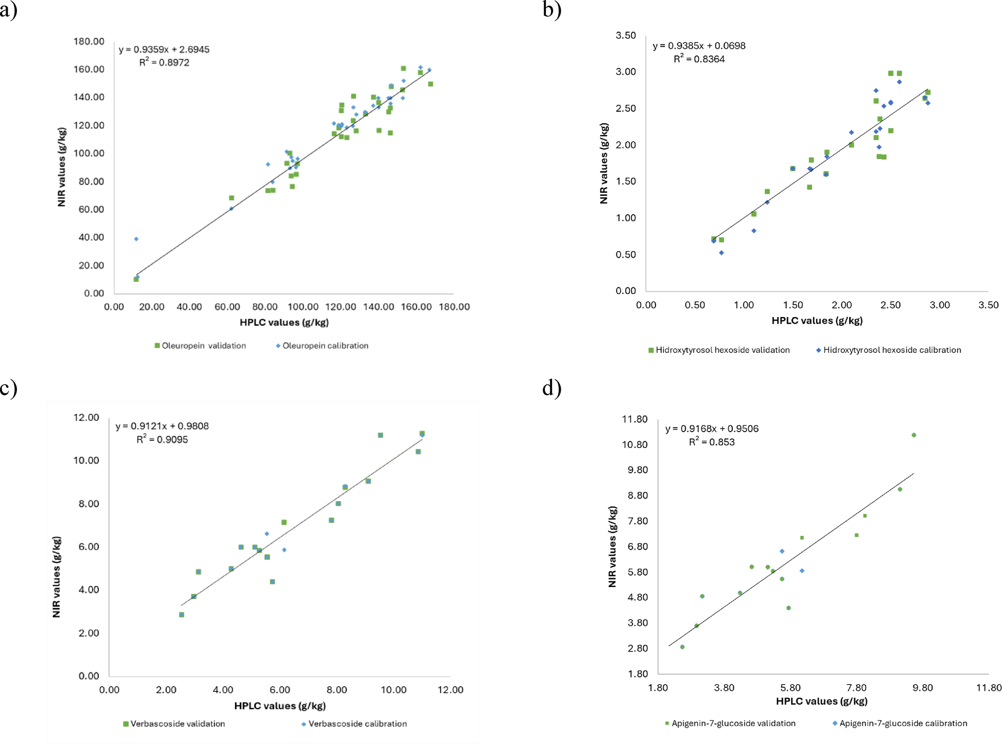
Fig. 3

Scatter plot obtained with HPLC–DAD versus values predicted by the NIR in Olea europaea L., leaves using PLS-R in CVP2: (a) Oleuropein; (b) Hydroxytyrosol hexoside; (c) Verbascoside; (d) Apigenin-7-glucoside.

Scatter plot obtained with HPLC–DAD versus values predicted by the NIR in Olea europaea L., leaves using PLS-R in CVP2: (a) Oleuropein; (b) Hydroxytyrosol hexoside; (c) Verbascoside; (d) Apigenin-7-glucoside.