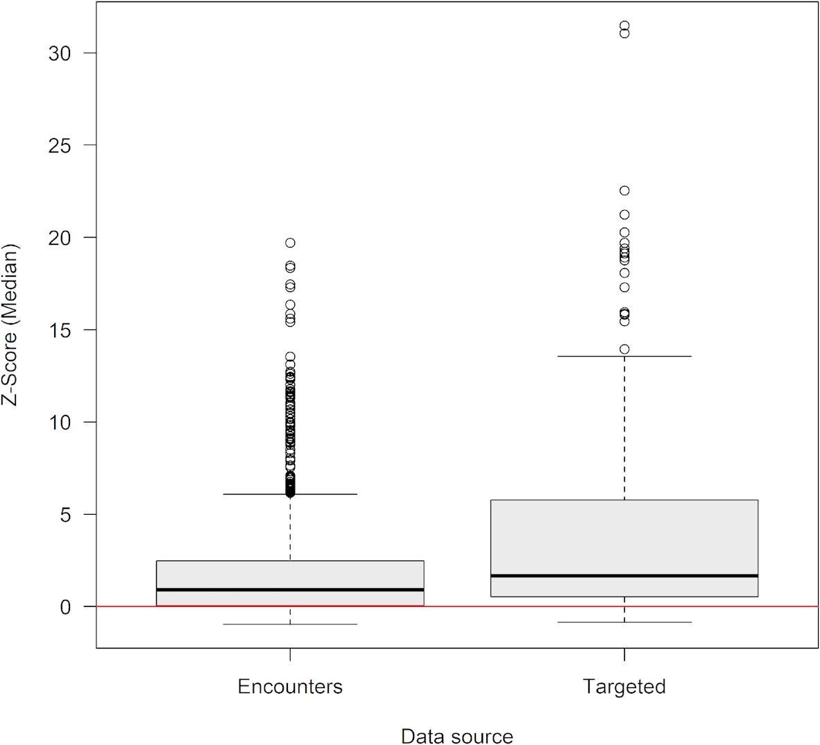
Fig. 3

External validation of the smalltooth sawfish (Pristis pectinata) distribution model. Predictive utility of best-fitting density model as evidenced by median Z-score standardized probabilities for independent observations of for age-0 and age-1 individuals from targeted sampling from November 2004 through December 2022 using gillnets; and sawfish encounters (“Encounters”) of all life history stages, reported to the U.S. Sawfish Recovery Database (2015–2023). Positive Z-scores (i.e., above red line) indicate consistency between independent observations and model predictions, with higher Z-scores indicative of greater predictive utility.