Fig. 2
From: Slowing down in PNP: relationship of joint velocities in an arm-movement test and the fast TUG test

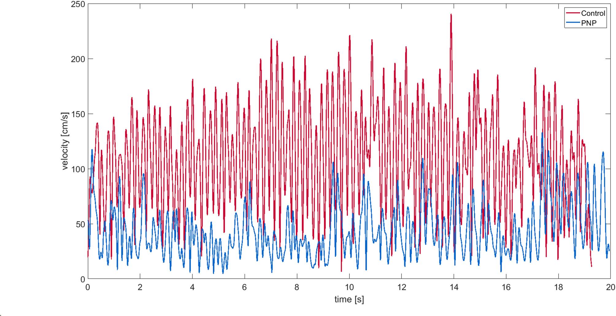
Velocity profile of the arm-movement test. The figure shows the velocity profile of one representative healthy control individual (red) and one PNP patient (blue). X-axis represents the 20 s period of the arm-movement test, y-axis the velocity of the wrist [cm/s].