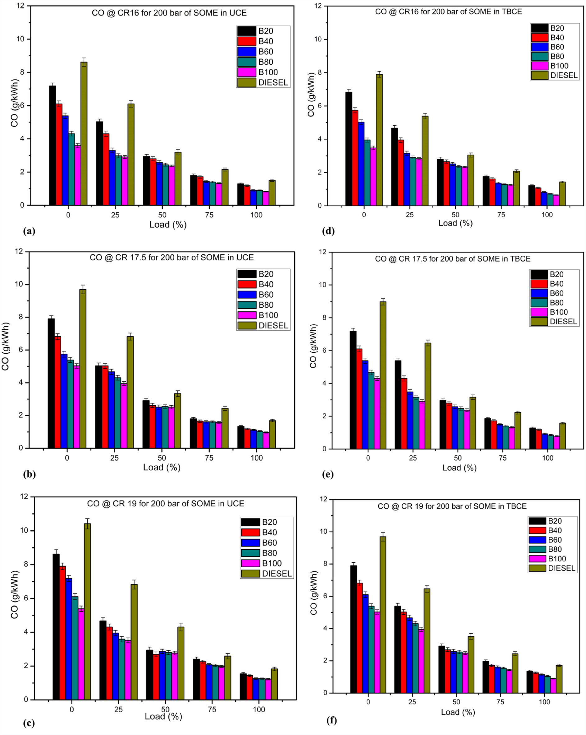
Fig. 13

(aโf). The variation of the CO at different loads and CRs (16, 17.5 & 19) for SOME blends in both coated and uncoated engines.

(aโf). The variation of the CO at different loads and CRs (16, 17.5 & 19) for SOME blends in both coated and uncoated engines.