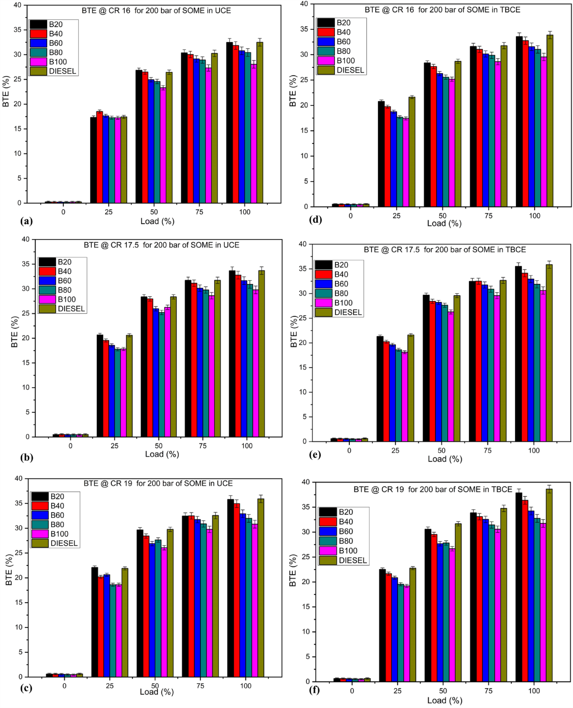
Fig. 6

(aโf) The variation of the BTE at various loads and CRs (16, 17.5 & 19) for SOME blends in both coated and uncoated engines.

(aโf) The variation of the BTE at various loads and CRs (16, 17.5 & 19) for SOME blends in both coated and uncoated engines.