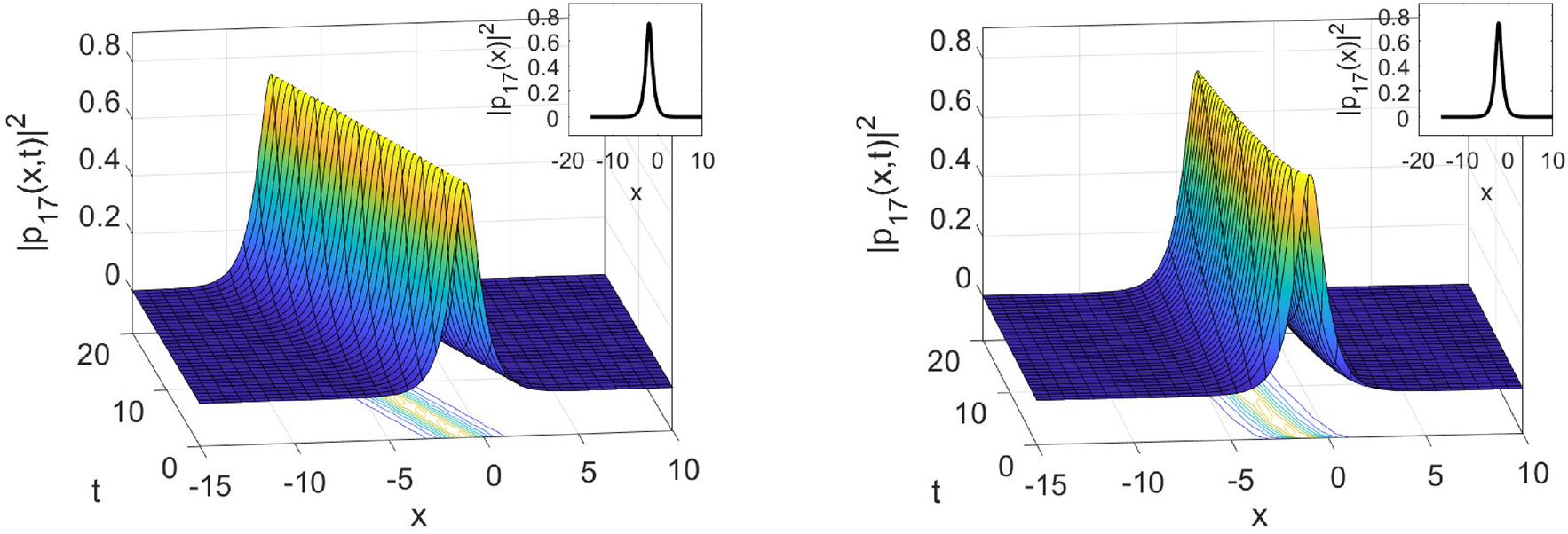
Fig. 5

The bright plot of \({{\left| {{p}_{17}}(x,t) \right| }^{2}}\) where \(a_{1} = 2,b_{2} = - 1,b_{1} = c_{1} = ,c_{3} = y = w = 0.3,\)\(\: c_{2} = 0.2,a_{2} = 0.149,c_{5} = 2,s = - 0.2,n_{1} = 0.669,n_{2} = - 0.1,u = c_{4} = \rho = 1,\) and \(K=2\).