Fig. 4

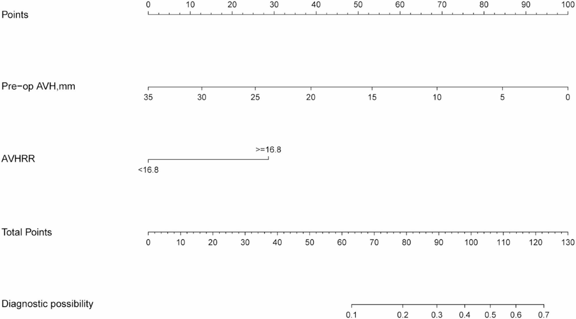
Nomogram based on preoperative anterior vertebral heigh and anterior vertebral height recovery rate. Pre-op AVH preoperative anterior vertebral heigh, AVHRR anterior vertebral height recovery ratio.

Nomogram based on preoperative anterior vertebral heigh and anterior vertebral height recovery rate. Pre-op AVH preoperative anterior vertebral heigh, AVHRR anterior vertebral height recovery ratio.