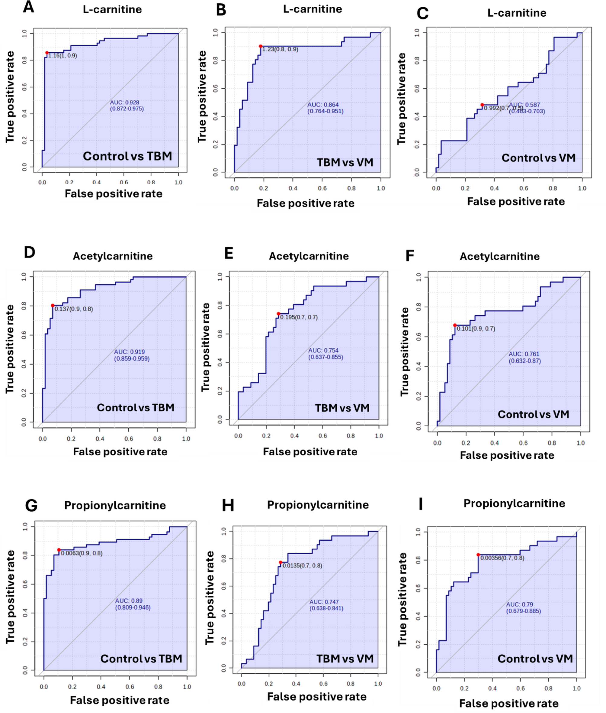
Fig. 4
From: CSF carnitine is a potential biomarker in paediatric tuberculous meningitis


Receiver operating characteristics (ROC) curves of potential markers of TBM. A-C: L-carnitine; D-F: acetylcarnitine; G-I: propionylcarnitine; J-L: butyrylcarnitine; M-O: combination of L-carnitine, acetylcarnitine, propionylcarnitine, and butyrylcarnitine.