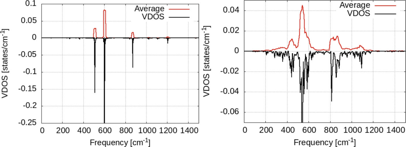
Fig. 12
From: A DFT study on hydrogen diffusion across zinc surfaces at low coverage

Vibrational density of states for the hydrogen atom adsorbed on a frozen surface (Zn atoms are pinned to their positions) for a single H atom (left) and two atoms. Black lines: raw data; red lines: window-averaged data over 5 frequencies. Left: data for T = 300 K; right: data for T = 350 K.