Fig. 14
From: A hybrid deep learning model for detection and mitigation of DDoS attacks in VANETs

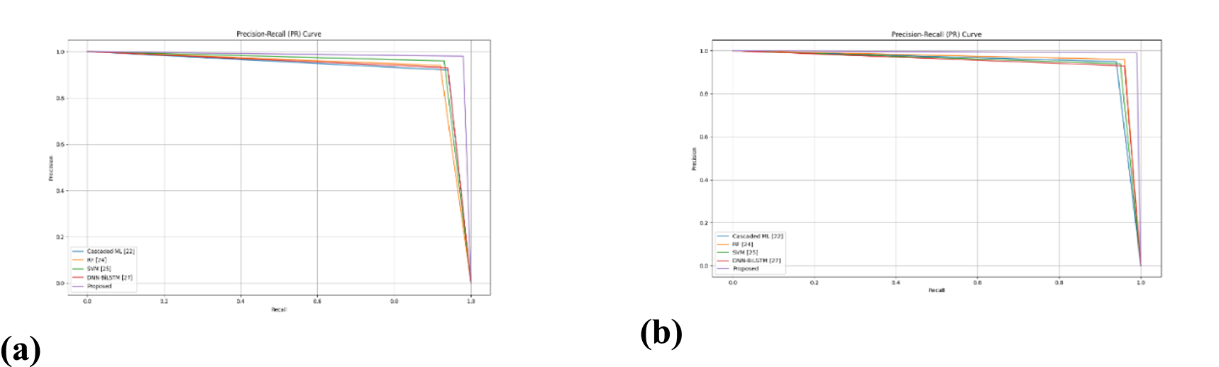
Precision-recall curve for 70% and 80% training.
From: A hybrid deep learning model for detection and mitigation of DDoS attacks in VANETs

Precision-recall curve for 70% and 80% training.