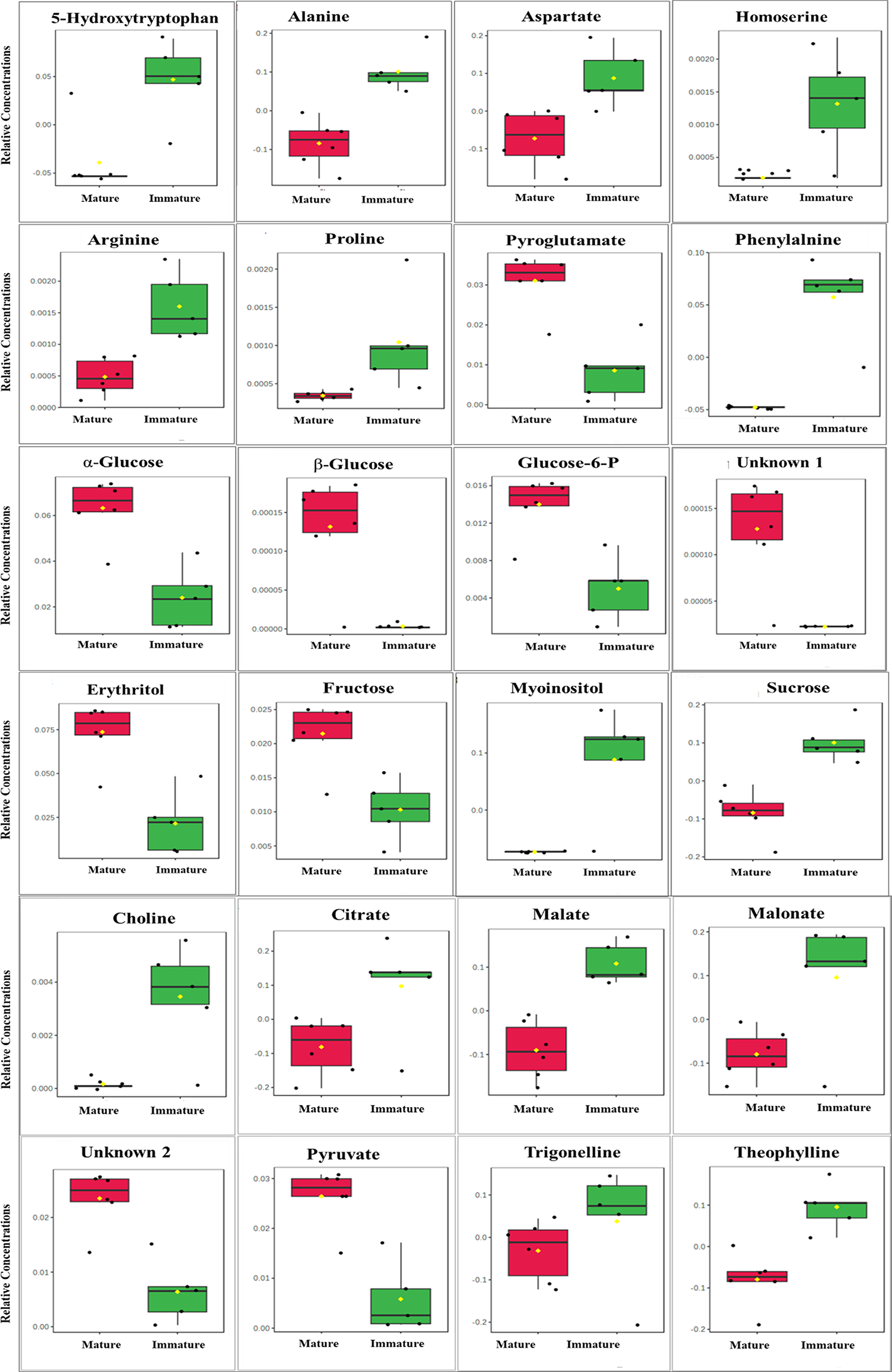
Fig. 4

Boxplots of relative concentrations of the metabolites in polar extracts from mature and immature fruit (the 24 most significant metabolites selected from Volcano plot analysis). The black dots represent the concentration of the selected metabolite in each replicate. The mean concentration of each treatment is indicated by the yellow diamond. The Y axis defines the relative abundances of the specific metabolite, and the X axis defines the treatment group.