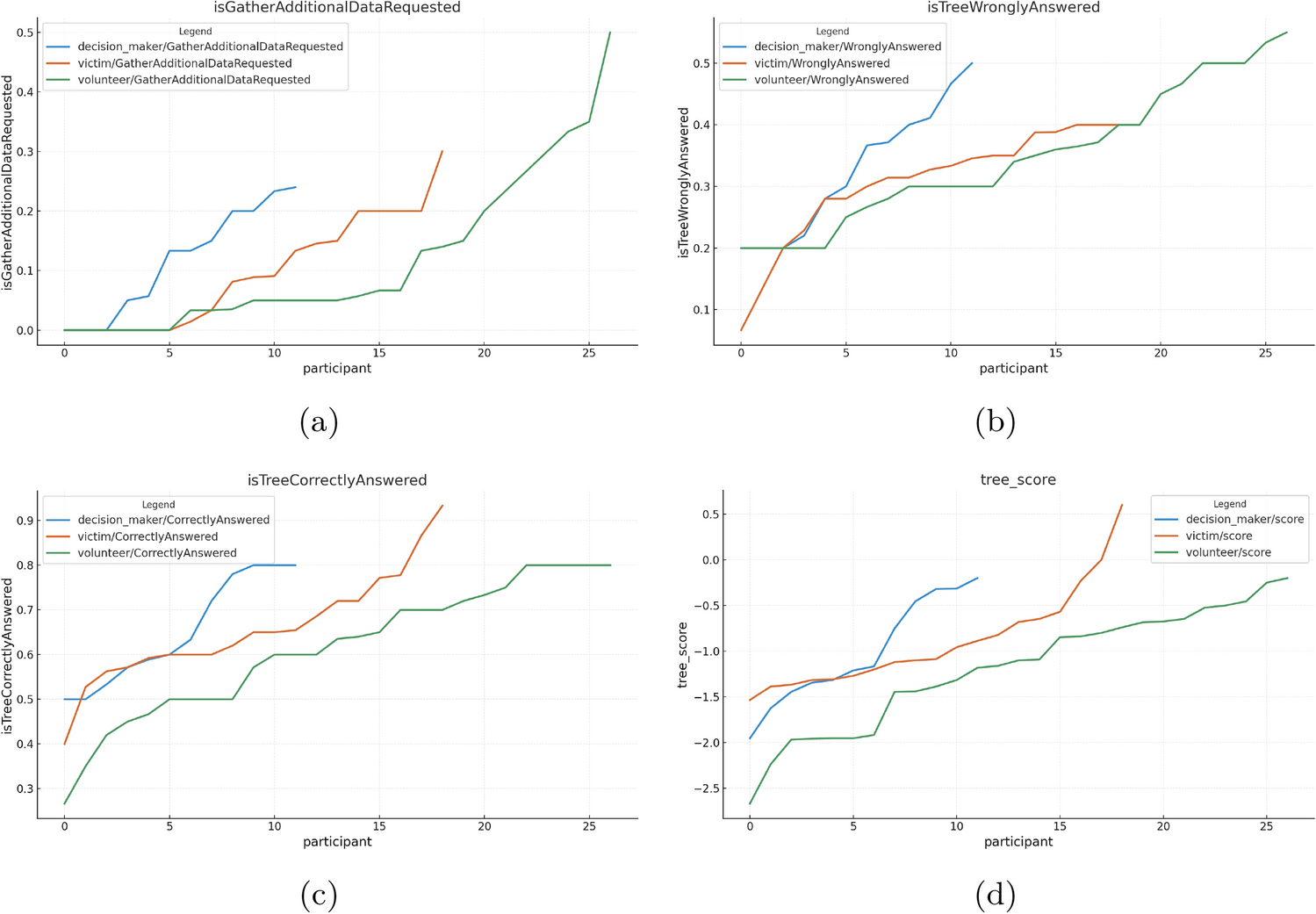
Figure 14

Metrics for the individual responses from the Human Operators in the survey. The horizontal axes represent each of the individual participants. (a) âisTreeAdditionalDataRequestedâ, (b) âisTreeWronglyAnsweredâ, (c) âisTreeCorrectlyAnsweredâ, and (d) âtree_scoreâ.