Fig. 3
From: Jahn-Teller effect for controlling quantum correlations in hexanuclear Fe\(^{3+}\) magnets

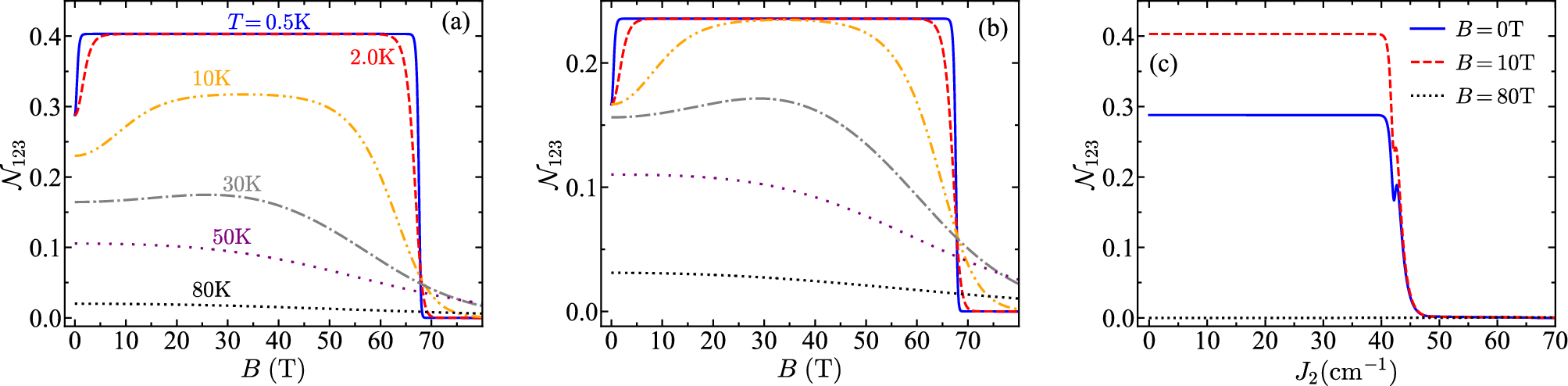
(a) Magnetic-field dependence of the tripartite negativity \(\mathcal {N}_{123}\) of the Fe\(^{3+}\) complex under JT effect at different temperatures. The coupling constants \(J_1 = 42.2\, \text {cm}^{-1}\), \(J_2 = 34.2\,\text {cm}^{-1}\), \(J_3 = 0.015\,\text {cm}^{-1}\), and the gyromagnetic factor \(g = 2.0\) are taken from previous experimental analysis19. (b) The negativity \(\mathcal {N}_{123}\) with equilateral triangle shape of subunits with \(J_1 = J_2 = 42.2\, \text {cm}^{-1}\) and \(J_3 = 0.015\,\text {cm}^{-1}\). (c) \(\mathcal {N}_{123}\) as a function of \(J_2\) for three fixed values of the magnetic field at \(T = 0.5\,\text {K}\), assuming \(J_1 = 42.2\, \text {cm}^{-1}\) and \(J_3 = 0.015\,\text {cm}^{-1}\).