Fig. 4
From: Machine learning model for early diagnosis of breast cancer based on PiRNA expression with CA153

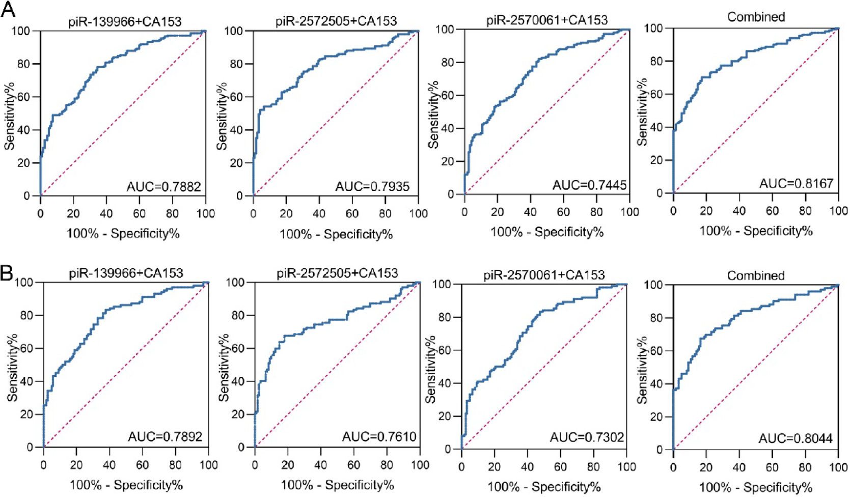
Serum tri-piRNA signature enhances diagnostic accuracy of CA153. The AUCs of CA153 combined with piR-139966, piR-2572505, piR-2570061, and their combination in BC patients relative to healthy individuals(A). Serum piRNAs enhance the diagnostic accuracy of CA153 for early-stage BC. The AUCs of CA153 combined with piR-139966, piR-2572505, piR-2570061, and their combination in early-stage BC relative to healthy individuals (B).